Liste de discussions
-
Vérifiée par Alloprof
Primaire 5 • 2aDans la classe de Dylan, les tailles des garçons,en cm, sont les suivantes: 159, 157, 148, 155, 162, 150, 149, 161, 156, 151 Quelle est la moyenne de leurs tailles? Je ne l'ai pas bien compris
-
Vérifiée par Alloprof
Secondaire 2 • 2adésolé mais je comprend rien
choix a)
pige 1: si je pige la bille rouge 1/6
pige 2: j'ai 0/6 de piger la bille rouge
choix b)
pige 1: autre couleur
pige 2: 1/6 de piger une rouge
Je ne comprend pas pourquoi j'ai 5/6 de piger une rouge
-
Vérifiée par Alloprof
Secondaire 1 • 2aBonjour,
J'ai la définition d'une suite numérique et d'une suite arithmétique mais j'ai toujours pas compris la différence entre les 2.
et
Est-ce que une suite numérique peut être une suite arithmétique?
Merci
-
Vérifiée par Alloprof
Secondaire 4 • 2aJe ne comprends pas comment trouver la mesure du segment CD
-
Vérifiée par Alloprof
Secondaire 2 • 2aje vais commencer par avec remise:
ce que je comprend
pige 1: j'ai 1/6 chance de piger une rouge
pige 2: pourquoi vous dites que j'ai 5/6?
-
Vérifiée par Alloprof
Secondaire 4 • 2aBonjour, j'ai une question à propos de la fonction partie entière, Est-ce que le point plein doit être sur l'origine de la plan cartésien pour savoir que h et k est 0? Si un point vide est sur l'origine, veut il dire que h a bougé ou non?
-
Vérifiée par Alloprof
Secondaire 4 • 2aLa formule 180(n-2) est utilisé pour quoi? Je l'ai dans mes notes mais je ne le comprends pas.
-
Vérifiée par Alloprof
Secondaire 2 • 2aProbabilité:
J'ai 3billes bleues, 2billes vertes et 1 bille rouge.
1-William fait 2 piges avec remise. Quelle est la probabilité de piger un bille rouge?
Mon prof dit que la réponse est de 30.5% mais je ne n'arrive pas...
2-William fait 2 piges sans remise. Quelle est la probabilité de piger un bille rouge?
Mon prof dit que la réponse est de 33.3% mais je ne n'arrive pas...
Pouvez-vous m'aider svp...
-
Vérifiée par Alloprof
Secondaire 4 • 2aEst-ce que je suis préparer pour l'examen de math SN si j'ai fait 6 pratiques du ministère, 18 questions supplémentaires de section A, 12 questions supplémentaires de section B et 12 questions supplémentaires de section C. Aussi est-ce que la contrainte de temps est largement suffisante?
-
Vérifiée par Alloprof
Secondaire 4 • 2aAllo! Je comprend pas comment on fait pour changer les base dans un addition d’une expression rationnelle comme par exemple dans ce problème la il ne comprend pas pour le x-3 est ajouté à la droite mais pas à la gauche
-
Vérifiée par Alloprof
Secondaire 2 • 2aBonjour Alloprof! Est-ce que je peux avoir un document de révision de fin d'année pour le secondaire 2 en math s'il vous plaît?
(Juste pour le mentionner, en classe, nous utilisons le cahier "Sommet, 2e édition". file:///C:/Users/sybou/Documents/Cahier%20sommet.png )
J'aimerais aussi savoir la différence entre une probabilité dépendante et indépendante.
Merci et bonne journée!
CigogneEmpathique
-
Vérifiée par Alloprof
Secondaire 4 • 2aQue devons-nous savoir à propos des réciproques pour l'examen ministérielle de math. C'est écris dans le document d'information, mais on n'en a jamais parlé à propos de cela, sauf en secondaire 3
-
Vérifiée par Alloprof
Secondaire 4 • 2aBonjour, je n'arrive pas à comprendre ce numéro-ci
-
Vérifiée par Alloprof
Primaire 5 • 2aSalut j'aimerais qu'on me répond sur le sujets des diagrammes circulaires avec le pourcentage. Jai beaucoup de la difficulté quand on doit savoir le pourcentage de personne sur 60 aime faire de la trottinette ou combien sur 30 aime aller en camping je sais pas comment plus expliquer mais merci
-
Vérifiée par Alloprof
Secondaire 4 • 2aSalut, j’ai une question es ce que quelqu’un peux me donner des pistes pour que je suis capable de résoudre le problème ! La notion ces fonction exponentielle je crois!
dans le corrigé je comprend pas les chiffre entre parenthèse à côter de V sa vient d’où es ce que ces des chiffre au hasard?
-
Vérifiée par Alloprof
Secondaire 5 • 2aSalut!Jaimerais savoir pourquoi pi sur 6 est un nombre irrationnel tandis que 7pi sur 6 ne lest pas.
merci
-
Vérifiée par Alloprof
Secondaire 4 • 2asalutest ce que comme justification on pourrait dire qu vu que la valeur de t a triplee alors la parbole est devenue plus ocntractee
ensutie pour le u sa valeur a ete multiple par -1 ce qui veut dire que le u a maintenant une valeur negative
car (x+h) le h en ressort negatif ce quei veut dire que le sommet de la fonction se retrouve desormain de l autre cote de l axe des ordonne mais toujours dans la partie positive du graphique puis finalement pour le v sa valeur a augmente de 2 unites alors le sommet de la fonction g est situe de 2 unites plus haut que celui de la fonction f ... ?
merci
-
Vérifiée par Alloprof
Secondaire 4 • 2asalut ici est ce que le parametre a est bien situe dans cette ensemble solution puis pour justifier on peut dire que il y a eu une relfexion par rapport a l axe des x alors alors le a est negatif puis que la largeur de la parabole est plus fgrande que celle de la fontion de base donc automatiquement cela veut dire que le parametre a dans ce cas est situe entre o et -1 exclus ... ?merci
-
Vérifiée par Alloprof
Secondaire 3 • 2acomment savoir si un taux de variation est constant ou non constant
-
Vérifiée par Alloprof
Secondaire 4 • 2aJe ne comprend pas comment faire.
-
Vérifiée par Alloprof
Secondaire 3 • 2aBonjour, j'aimerais savoir pourquoi 22/7 est un nombre rationnel et non irrationnel sachant que lorsqu'on le divise, il donne un nombre non-périodique (3,142857...).
Merci
-
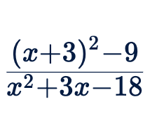
Vérifiée par Alloprof
Secondaire 4 • 2aPour simplifier cet expression rationnelle, dans numérateur, nous devons factorisée en utilisant la méthode du différence de carré. Je ne comprends pas comment faire ça avec un binome
-
Vérifiée par Alloprof
Secondaire 4 • 2aJe ne sais pas par quoi commencer..
-
Vérifiée par Alloprof
Secondaire 4 • 2aJe sais même pas par où commencer
-
Vérifiée par Alloprof
Secondaire 4 • 2aBonjour ! Je viens de poser une question et c’estRamzi Zqui ma répondu. Vous me demandiez plus de clarté dans mes démarches alors je vous les glisse ici.
-
Vérifiée par Alloprof
Secondaire 1 • 2aBonjour Alloprof,
J’aurais une question à propos de l’écriture des nombres naturels.
Je ne sais pas lorsque un nombre prend des traits d’unions. De plus, je ne sais pas si un nombre excluant le ET à l’oral est la même chose à l’écrit .
Par exemple: un nombre comme 43 960 ,à l’oral, exclut le ET, qui permet de faire la liaison
Doit-on l’écrire de la même façon en lettres: quarante- trois-mille neuf-cent-soixante ou quarante-trois mille et neuf-cent-soixante ?
Merci et bonne journée!
-
Vérifiée par Alloprof
Secondaire 2 • 2aJe ne me rappelle pus de ce que un événement complémentaire est
-
Vérifiée par Alloprof
Secondaire 5 • 2aBonjour, je ne sais pas si j’ai bien compris cet exercice. Pouvez vous m’aider? Voici ce que j’ai réussi à faire, mais je suis pas très sûr de ma repos e finale.
Merci
-
Vérifiée par Alloprof
Secondaire 4 • 2aBonjour ! Je n’arrive pas a résoudre ce problème. J’obtiens que le côté EF vaut environ 20 cm mais la réponse du corriger est différente et donne la mesure de EF à 27,58 cm. J’aurais besoin d’aide le plus tôt possible mon examen est demain matin. Merci !
-
Vérifiée par Alloprof
Primaire 5 • 2abonjour lundi j ai une éval sur les fraction les poursentage , diagramme a bande et diagramme a ligne brisé mais j ai besoin de des exercise donc pouvez vous m en voyer des pratique d exercise svp merci j espere que allez voir mon message













