Liste de discussions
-
Vérifiée par Alloprof
Primaire 4 • 3abonjour je besoin d'aide
-
Vérifiée par Alloprof
Secondaire 5 • 3aComment trouver les dimensions
-
Vérifiée par Alloprof
Secondaire 5 • 3aJe Ne sais pas comment faire pour trouver le diamètre
-
Vérifiée par Alloprof
Secondaire 3 • 3aBonjour! J’ai une question en électronique. Est-ce que le circuit ci-contre correspond à ce qu’a fait le monsieur dans la vidéo?
-
Vérifiée par Alloprof
Secondaire 5 • 3aPourquoi plus l'écart entre deux points de vue est grand, plus nos yeux voient l'objet plus près de sa réelle position? Alors que lorsque les points de vue sont proches l'un des autres, objet vu est plus loin de sa réelle position.
-
Vérifiée par Alloprof
Secondaire 5 • 3adans le problème suivant : Louis veut écouter une partie de hockey diffusée à la radio. Il syntonise une station dont la fréquence est de 730kHz. S'il se trouve à 50km de l'antenne émettrice, combien de longueurs d'onde le signal comportera-t-il, de l'antenne jusqu'au poste de radio?
je ne comprends pas comment trouver le nombre de longueurs d'onde d'une situation. Merci!
-
Vérifiée par Alloprof
Secondaire 5 • 3aComment je peux trouver la fréquence?
-
Vérifiée par Alloprof
Secondaire 5 • 3aJ'aimerais avoir des explications afin de réaliser cet exercice. Merci à l'avance !
-
Vérifiée par Alloprof
Secondaire 5 • 3aPour déterminer la hauteur de son école, Isabelle, dont la taille est de 1,50 m, veut utiliser la méthode des triangles semblables. Pour ce faire, elle compare la longueur de son ombre et celle de l’école lors d’une journée ensoleillée. Lorsqu’elle se trouve à 10,0 m de l’école, l’ombre de l’école arrive tout juste à ses pieds. Sa propre ombre sur le sol mesure 2,0 m. Quelle est la hauteur de l’école? Illustrez cette situation par un schéma pour vous aider à répondre à la question.
je ne comprends pas comment dessiner le schéma. Merci!
-
Vérifiée par Alloprof
Secondaire 5 • 3aComment je peux trouver la mesure de l'angle
-
Vérifiée par Alloprof
Postsecondaire • 3aBonjour, je n’arrive pas à trouver comment procéder pour ce numéro. Je sais que je dois faire l’intégrale de Fx dt=mVx, sauf que je ne comprend pas comment. J’ai attaché une photo ci-dessous. Merci!!
-
Vérifiée par Alloprof
Postsecondaire • 3aQuelqun sais comment on résous ces calculs?
-
Vérifiée par Alloprof
Secondaire 5 • 3aJe ne comprend pas comment faire les calculs
-
Vérifiée par Alloprof
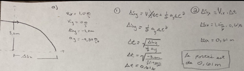
Secondaire 5 • 3aBonjour,
En physique mécanique, je me demandais comment es ce que je pourrais trouver la vitesse initiale en tirant une bille a l'horizontal, en ayant seulement comme donnés la distance parcourue, la hauteur de la table et l'accélération?
Merci!
-
Vérifiée par Alloprof
Secondaire 5 • 3aComment trouver la hauteur de l'image
-
Vérifiée par Alloprof
Secondaire 5 • 3aComment trouver la longueur focale
-
Vérifiée par Alloprof
Secondaire 4 • 3aC'est quoi la regle de l'octet.
-
Vérifiée par Alloprof
Secondaire 5 • 3aComment je peux trouver la mesure de l'angle de réfraction
l
-
Vérifiée par Alloprof
Secondaire 5 • 3aJe voudrais savoir comment faire pour trouver l'Indice se réfraction
-
Vérifiée par Alloprof
Secondaire 5 • 3aLes sources lumineuses émettent-elles toutes les couleurs du spectre?
-
Vérifiée par Alloprof
Secondaire 5 • 3aJe ne comprends pas comment nous trouvons la fréquence dans se numéro.
-
Vérifiée par Alloprof
Secondaire 5 • 3aBonjour! Je me demandais qu’est-ce qu’était la diffusion, la réfraction, la dispersion et l’absorption dans les phénomènes lumineux en physique?
-
Vérifiée par Alloprof
Primaire 5 • 3ases quoi l équitation jai besoin de une reponse complet avec des mot adapter pour les enfant de 10 ans merci de me repondre au plus vite merci
-
Vérifiée par Alloprof
Secondaire 5 • 3aBonjour, je ne comprend pas comment résoudre le calcul suivant:(je fais présentement la représentation mathématique des images dans les lentilles) pouvez-vous m’aider? j’ai regardé vos explications sur ce sujet et je ne comprend toujours pas!! merci:)
-
Vérifiée par Alloprof
Secondaire 5 • 3aBonsoir, quelqu’un sait comment résoudre ça ?
-
Vérifiée par Alloprof
Secondaire 5 • 3aBonjour ! Pourriez vous m'aider a comprendre comment arriver a la bonne question? Merci
-
Vérifiée par Alloprof
Secondaire 5 • 3aJe ne comprend pas comment on fait pour trouver la réponse du 1.
-
Vérifiée par Alloprof
Secondaire 5 • 3aBonsoir,
Si j’ai un point de position de 4 mm plus ou moins de 0,05 mm(mm est la plus petite graduation), qu’est-ce que je dois faire pour converser cette données en m?
Merci en avance.
-
Vérifiée par Alloprof
Postsecondaire • 3aBonjour, je ne suis pas capable de compléter ce numéro en physique. Pourriez-vous m’aider ? P2 en passant.
-
Vérifiée par Alloprof
Secondaire 5 • 3aBonjourEst ce que la reponse de cela est juste 15 oscillations divisé par 5.5 s?
Ou ,y a t il un différent méthode de le faire? Merci






















