Best Of
Re: Question
Salut!
Pour chaque fonction, tu dois trouver la règle qui a la forme suivante :
où h et k sont les sommets de la parabole.
Si la parabole est ouverte vers le bas, son sommet est le point le plus en haut, comme ceci :
tandis que si la parabole est ouverte vers le haut, son sommet est le point le plus en bas :
Ainsi, les coordonnées de ce sommet te donneront la valeur des paramètres h et k.
Le paramètre \(a\) influence la grandeur de l'ouverture de la parabole :
tandis que son signe permet de déterminer si la parabole est ouverte vers le haut ou vers le bas.
Donc, pour toutes les fonctions qui sont ouvertes vers le bas, tu sais que le paramètre a est négatif.
Pour déterminer la valeur absolue du paramètre (la valeur de a, sans prendre en compte son signe), tu peux y aller approximativement. Par exemple, pour le numéro f, l'ouverture est visiblement plus petite que celle de la fonction de base f(x)=x². Ainsi, cela veut dire que la valeur absolue de \(a\) est supérieure à 1.
Voici des fiches sur cette notion qui pourraient t'être utiles :
- Trouver la règle d'une fonction polynomiale de degré 2 | Secondaire | Alloprof
- Le rôle des paramètres dans une fonction polynomiale de degré 2 | Secondaire | Alloprof
Si tu as d'autres questions, n'hésite pas à nous réécrire! :)
Re: Question
Salut!
Lorsque tu divises deux nombres dont l'un est négatif, le résultat sera négatif, tandis que si tu divises deux nombres négatifs, le résultat sera positif. Voici des exemples :
$$ 12 \div -3 = -4$$
$$ -15 \div 5 = -3$$
$$ -12 \div -3 = 4$$
$$ -15 \div -5 = 3$$
De plus, si le diviseur est un nombre décimal, tu peux multiplier le dividende et le diviseur par une puissance de 10 afin de transformer le diviseur décimal en entier. Voici un exemple :
Tu pourras ensuite effectuer la division avec la méthode des crochets comme à l'habitude.
Voici une fiche sur cette notion qui pourrait t'être utile :
- Dividing Decimal Numbers | Secondaire | Alloprof
- La multiplication et la division de nombres positifs et négatifs | Secondaire | Alloprof
- Diviser des nombres | Primaire | Primaire | Alloprof
J'espère que c'est plus clair pour toi! :)
Re: Question
Merci pour ta question!
Il y a deux étapes principales à ce problème :
- Simplifier les fractions
- Approximmer à quel nombre ils sont égal.
Tout d'abord, simplifions la fraction en a). On peut diviser par 10 au numérateur et au dénominateur.
$$ \frac{50}{200} = \frac{5}{20} $$
Puisque 20 est divisible par 5, on peut aussi le diviser :
$$ \frac{5}{20} = \frac{1}{4} $$
Puis, reste à approximmer sa valeur. 1/4 est grand que 0, mais plus petit que 1/2. On peut ainsi le placer entre ces deux points.
Voilà!
Cette fiche du site d'Alloprof explique les fractions :
N'hésite pas si tu as d'autres questions!
Re: Question
Bonjour
La réponse du a est 1/2 tu c`est comment je les trouver . je me suis dit que 1 présente un gros complet qui est = a 100 et je me suis dit aussi que 2 représente 200 .Donc si 200 diviser par 50 donne 4 et que le 50 représente 1/4 de 200 alors si 100 représente 1 gros complet .alors si 50 est la moitié de 100 alors ca représente 1/2. Éssaie de faire le b j`ai confiance on toi .
Bonne chance.
Re: Question
Bonjour! Pour cette question, tu as besoin de faire une réduction. Par exemple, 2/4 peut être réduit et devenir 1/2. Par la suite, tu dois estimer où cette fraction réduite se situe sur la bande
Re: Question
Tu as 8 pointes par tarte et tu as trois tartes, tu as donc au total:
3x8 = 24 pointes de tarte
si n représente le nombre de personnes alors tu auras
24/n pointes de tarte par personne
Note: porte attention aux unités cela t'aidera à éviter les erreurs: si tu avais fait n/24 tes unités seraient personnes/pointe
Re: Question
Salut!
Tes démarches sont excellentes, bon travail! Tu as une toute petite erreur ici :
Voici comment simplifier cette expression :
$$ \frac{4,5\times 10^6}{2,25 \times 10^5} $$
On peut commencer par séparer les puissances de 10 des facteurs :
$$ \frac{4,5}{2,25} \times \frac{10^6}{10^5} $$
On divise ensuite 4,5 par 2,25, ce qui nous donne 2 :
$$2 \times \frac{10^6}{10^5} $$
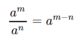
Maintenant, pour simplifier la seconde fraction, on peut utiliser la loi des exposants suivante :
ce qui nous permet d'obtenir :
$$2 \times 10^{6-5} $$
$$2 \times 10^{1} $$
$$2 \times 10 = 20 $$
Tu dois donc refaire ton calcul de la longueur totale du parcours :
Le reste de ta démarche est bon, bien joué! :)
Re: Question
Salut DiamantAdorable505 !
Merci pour ta question. :)
Je t'invite à consulter ce lien, tu y retrouveras des fiches explicatives sur plusieurs personnages inspirants du 20e siècle et ce sera alors plus facile pour toi d'en choisir un !
N'hésite surtout pas à nous réécrire si tu as d'autres questions !
Océane :)
Re: Question
Bonjour DiamantAdorable505,
Merci d’avoir utilisé la zone d’entraide pour poser ta question!
Pour répondre à ta question, voici un fichier qui t’aidera à trouver un personnage du 20e siècle:
J’espère que ça va t’aider! Bon travail!
PoutineSociable4342
Re: Question
Merci pour ta question!
Un gène est un séquence d'ADN contenue dans une cellule. Un gène est essentiellement une «recette» moléculaire pour fabriquer une protéine unique dans le corps.
Une allèle est une variante spécifique d'un gène. Ainsi, il s'agit un peu d'une «variation dans une recette», si on reprend la même analogie.
Cette fiche du site d'Alloprof explique la génétique :
N'hésite pas si tu as d'autres questions!












