Best Of
Re: Question
Salut,SoleilInoubliable83
Pour savoir si un bijou est en or véritable,il faut versez un peu de vinaigre blanc sur l'objet à tester. Si un changement de couleur se produit, si l'or fonce, il y a de fortes chances qu'il ne s'agisse pas d'or pur.
J'espère que je t'es aidé
Re: Question
Bonjour SoleilInoubliable,
Merci pour ta question!
Il existe plusieurs techniques pour s'assurer qu'il s'agisse d'or. Tout d'abord, l'or est particulièrement dense. Il coule donc dans l'eau.
Tu pourrais aussi mesurer sa masse volumique pour s'assurer qu'elle corresponde à celle de l'or.
Finalement, contrairement à plusieurs autres métaux, l'or ne réagit pas à l'acide.
N'hésite pas si tu as encore besoin d'aide:)
Kylan
Re: Question
Hi!
To solve this inequation (which we'll transform into an equation for now), we need to isolate x:
$$-sin\frac{\pi}{2}(x-1)+9 =8$$
We start by eliminating the constant 9:
$$-sin\frac{\pi}{2}(x-1)+9-9 =8-9$$
$$-sin\frac{\pi}{2}(x-1)=-1$$
Next, we eliminate the negative signs on each side of the equation:
$$sin\frac{\pi}{2}(x-1)=1$$
Now we need to use our unit circle to find the angle for which the sin is 1:
We thus find that the angle \(\frac{\pi}{2}\) has a sine of 1. Therefore, our angle \(\frac{\pi}{2}(x-1)\) must be equivalent to this angle, which gives us this equation:
$$\frac{\pi}{2}(x-1)=\frac{\pi}{2}$$
All that remains is to solve the equation:
$$\frac{\pi}{2}(x-1) \div \frac{\pi}{2}=\frac{\pi}{2} \div \frac{\pi}{2}$$
$$(x-1)=\frac{\pi}{2} \div \frac{\pi}{2}$$
$$x-1=1$$
$$x-1+1=1+1$$
$$x=2$$
In other words, we find that the function \(-sin\frac{\pi}{2}(x-1)+9\) passes through y=8 at x=2.
You must then identify the period of the function, then express your answers in the following form:
$$x + pn, n ∈ ℤ$$
where \(x\) is the answer obtained when solving (we found \(x= 2\)), and where \(p\) is the period that you will have to find.
\(n\) is simply an integer that allows us to find any solution, because we remember that since it is a periodic function, there is an infinite number of solutions. \(x\) repeats itself infinitely in the following and previous cycles, so by choosing a certain integer \(n\) of our choice, we will obtain the answer for a certain given cycle.
Finally, before giving your final answer, it's finally time to analyze the inequality sign we had. We were looking for the values of x for which the function is less than or equal to y=8. Since y=8 is the minimum of the function, then we can't be less than that, but we can be equal. So, the final answer will be:
$$2 + pn, n ∈ ℤ$$
I'll let you find out p ;)
You should consult the following sheet, it presents the steps to follow to solve sine equations :)
Solving a Sine Equation or Inequality | Secondaire | Alloprof
I hope this helps you! :)
Re: Question
Merci pour ta question!
Un acte involontaire est un acte déclenché automatiquement, sans qu'il y ait une prise de conscience.
Un réflexe est une réaction rapide et involontaire effectuée en réponse à un stimulus.
La principale différence entre les actes involontaires et les réflexes est leur source. Les actes involontaires prennent origine dans le cerveau, qui envoie des instructions au corps. Les réflexes sont régis par la moelle épinière, ce qui permet un temps de réaction plus rapide.
Une autre différence entre les actes involontaires et les réflexes est la prise de conscience. Nous ne sommes presque jamais conscients des actes involontaires que nous posons, comme la respiration et les mouvements gastriques. Or, nous remarquons les réflexes que l'on fait, comme le mouvement de réflexe d'une jambe lorsque le genou est frappé par le marteau du docteur.
Cette fiche du site d'Alloprof explique l'arc réflexe et les actes volontaires et involontaires :
N'hésite pas si tu as d'autres questions!
Re: Question
Salut à toi brave élève! 😁
Ça nous fait plaisir que tu utilises Alloprof!
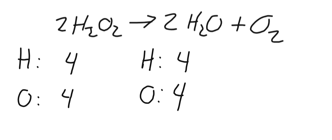
La première est plus susceptible de se produire naturellement.
Pour connaitre les composés formés par la décomposition du peroxyde d'hydrogène, on peut se questionner sur l'énergie nécessaire à cette réaction chimique. Par exemple, on pourrait calculer la variation d'enthalpie de la réaction.
Révise comment faire ici au besoin.
Comme tu peux le voir, la première équation produit de l'énergie (variation d'enthalpie négative), tandis que la deuxième équation nécessite de l'énergie (variation d'enthalpie positive), ce qui explique que la première soit favorisée dans la nature au détriment de la deuxième (elle est tout de même possible en laboratoire sous certaines conditions).
Écris-nous si tu as d'autres questions. 😊
À bientôt sur la Zone d'entraide! 😎
Re: Question
Bonjour, JujubeHumoristique2599!
Bon travail! :D
Je trouve que ton poème exprime très clairement ton rêve et exprime une forte volonté de justice. Tu as aussi une conclusion assez percutante, en affirmant vouloir devenir journaliste pour lutter contre ces inégalités.
J'ai trouvé quelques erreurs d'orthographe et de grammaire dans ton poème, mais rien qui ne gêne trop la lecture. Si tu souhaites les corriger, voici des fiches qui pourront t'aider à y parvenir:
Il y a un très bon code de correction dont tu pourras te servir au besoin. :)
De plus, si jamais tu voulais te fier à une fiche explicative du poème, tu peux toujours te référer à celle-ci:
Elle te donnera peut-être d'autre inspiration.
Je te souhaite la meilleure des chances dans ce concours!
N'hésite pas si tu as d'autres questions.
Iris
Re: Question
Salut,
Merci d'utiliser la zone d'entraide.
C'est une bonne question.
Pour savoir quand une expansion d’un groupe se termine, il faut repérer les frontières syntaxiques de l’expansion. Voici quelques pistes pour chaque type de groupe.
Pour t'aider, tu peux identifier en premier lieu identifié attentivement les noyaux du groupe nominal. Ensuite, tu dois identifier les changements de fonction syntaxique et les autres constituants grammaticaux de la phrase (ex.: un verbe, un autre GN, etc.). La ponctuation peut également être aidante pour identifier la fin d'une expansion.
Par exemple:
Le chat noir aux yeux verts qui dort sur le canapé ronronne doucement.
Noyau : chat
Expansion : noir aux yeux verts qui dort sur le canapé
Fin de l’expansion : ronronne doucement (Groupe du verbe ).
Ces fiches pourront également t'aider:
À bientôt,
Karen
Re: Question
Bonjour!
Afin de répondre à ta question, je te suggère de lire la section « La présence de capital » dans la fiche ci-dessous! :D
Si tu as d'autres questions, n'hésite pas à nous réécrire. Nous te répondrons avec plaisir!
Laurie :)
Question
Bonsoir Alloprof,
J'ai une capsule lingustique sur les mots composés avec un trait d'union. J'ai fait toutes mes recherches, mais je ne connait toujours pas:
--> qui a créé cette règle
--> comment elle a été créé
--> et est-ce qu'il y avait un temps où grand-père été écrit comme grandpère.
Merci
Bonne nuit
LithiumSigma6463




