Best Of
Re: Question
Bonjour!
Une combustion, quelque chose qui brûle. Ce qui brûle est appelé le combustible et ce qui entretient la combustion est le comburant. Ces notions sont un peu avancées pour le primaire, donc il est normal que tu ne comprennes pas tout! :)
Si tu as d'autres questions, n'hésite pas à nous réécrire. Nous te répondrons avec plaisir!
Laurie :)
Re: Question
Salut!
Quelle était ta question? Nous effaçons habituellement les questions ne respectant pas les règles de conduite de la Zone d'entraide. Or, il se peut que la tienne ait été effacée par erreur, nous en faisons aussi après tout! ;)
Nous nous excusons pour l'inconvénient occasionné. Si tu as encore des questions, je t'invite à nous réécrire pour nous les poser de nouveau, ça nous fera plaisir de t'aider! :)
Re: Question
Bonjour FramboiseAutonome2366,
Merci pour ta question :)
Effectivement, dans ces exercices tu dois isoler des variables dans des formules pour trouver leur valeurs. La première étape à faire pour chacun de ces exercices est d'écrire l'équation dont il est question.
Par exemple, on te parle de l'aire de la façade (un triangle) qui mesure 450 cm ^2. Il faut donc tout d'abord que tu écrives l'équation de l'aire d'un triangle: A=bxh/2. Ensuite, tu peux remplacer dans cette équation toutes les informations que tu connais: 450=30xh/2.
Il ne te reste plus qu'à cette étape à isoler la variable h pour trouver la hauteur de la façade. Pour se faire, je t'invite à consulter la page suivante qui t'aidera à appliquer une méthode de résolution d'équation (la méthode de la balance ou des opérations inverses par exemple): https://www.alloprof.qc.ca/fr/eleves/bv/mathematiques/les-methodes-generales-de-resolution-d-equati-m1452
Pour le deuxième exercice, il faut connaitre les dimensions du potager de Celia pour faire les calculs en lien avec les dimensions du potager de Rachid. Pour le potager de Celia, on sait que c'est un carré qui mesure 81 m^2. J'écris donc d'abord la formule: A=c^2. Puis, je remplace par ce que je connais: 81=c^2. Finalement, en résolvant l'équation, tu pourras trouver la mesure d'un côté du potager de Celia. Tu pourras ensuite faire le reste des calculs par rapport au potager de Rachid.
Je te laisse essayer le troisième exercice en suivant cette méthode pour essayer par toi-même :)
N'hésite pas si tu as d'autres questions :)
Sandrine
Re: Question
Salut,
Merci d'utiliser la zone d'entraide.
Une phrase a toujours 4 formes.
- Positive ou négative. Exemples : J'aime les fruits (positive) - Je n'aime pas les fruits (négative)
- Active ou passive. Exemples : Julie a fait un gâteau (active) - Le gâteau a été fait par Julie (passive)
- Neutre ou emphatique. Exemples : Faire du sport est bon pour la santé (neutre) - C'est faire du sport qui est bon pour la santé (emphatique)
- Personnelle ou impersonnelle. Exemples : Colin donne des craquelins aux élèves (personnelle) - Il y a des craquelins de disponibles pour les élèves (impersonnelle)
Voici les pages que tu peux consulter pour en apprendre plus sur les formes de phrase.
La phrase de base:
La phrase négative:
La phrase passive:
La phrase emphatique:
La phrase impersonnelle:
Pour ta deuxième question, je suis moins certaine de bien comprendre puisque la proposition est un concept de grammaire traditionnelle qui n'est plus utilisé aujourd'hui.
On disait qu'il y avait une proposition par verbe. Donc, dans une phrase avec deux verbes, on parle de deux propositions.
Aujourd'hui, on parlera plutôt de subordonnées. Il y a donc une phrase enchâssante et des phrases enchâssées. Les subordonnées sont des phrases à l'intérieure de la phrase enchâssante.
N'hésite pas à revenir nous voir en spécifiant tes incompréhensions pour que nous puissions t'aider davantage.
À bientôt,
Karen
Question
je voulez savoir comment sa marche fin lapin 3 et pourquoi il a seulement 5 niveaux de ils
Re: Question
Salut AnkylosaureJuste378 😁
Merci pour ta question!
Pour l'intégration, mes notions sont loin (on a certainement un.e membre de l'équipe qui pourra t'aider si tu souhaites reposer ta question ultérieurement).
Cependant, je peux te montrer comment faire la division polynomiale au cas où ça te soit utile pour faire une somme d'intégrales (ça existe, non?).
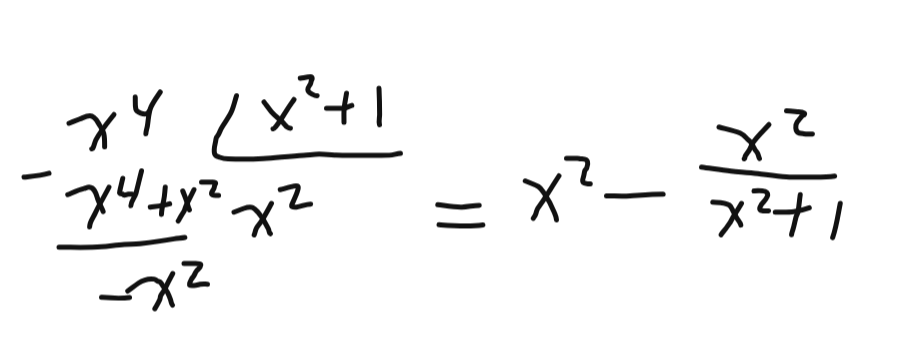
Voici la démarche. On commence par diviser x^4 par (x^2+1).
Ensuite, on peut poursuivre la division. Avec, x^2 par (x^2+1).
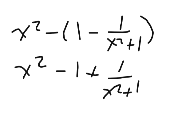
L'expression finale sera la suivante.
Écris-nous si tu as d'autres questions. 😊
À bientôt sur la Zone d'entraide! 😎
Re: Question
Bonjour!
Pour factoriser cette expression, on peut utiliser la technique du produit-somme :
$$\frac{2t^2 - t - 1}{t^2 - 3t + 2}$$
Au numérateur \(2t^2 - t - 1\), on cherche deux nombres dont la somme est de -1 et dont le produit est de 2×-1=-2. Ces deux nombres sont 1 et -2, car 1+-2=-1 et 1×-2=-2 :
$$\frac{2t^2 +t-2t - 1}{t^2 - 3t + 2}$$
Au dénominateur \(t^2 - 3t + 2\), on cherche deux nombres dont la somme est de -3 et dont le produit est de 1×2=2. Ces deux nombres sont -1 et -2, car -1+-2=-3 et -1×-2=2 :
$$\frac{2t^2 +t-2t - 1}{t^2 -t-2t + 2}$$
Ensuite, on effectue une mise en évidence double au numérateur :
$$\frac{t(2t +1)-(2t + 1)}{t^2 -t-2t + 2}$$
et au dénominateur :
$$\frac{t(2t +1)-(2t + 1)}{t(t -1)-2(t - 1)}$$
Au numérateur, on peut faire une mise en évidence simple du facteur (2t+1) :
$$\frac{(2t +1)(t-1)}{t(t -1)-2(t - 1)}$$
Et au dénominateur, on factorise (t-1) :
$$\frac{(2t +1)(t-1)}{(t -1)(t-2)}$$
Finalement, on élimine le facteur (t-1) qui se retrouve au numérateur et au dénominateur :
$$\frac{(2t +1)}{(t-2)}$$
Voilà! :)
J'espère que c'est plus clair pour vous!
Re: Question
Bonjour!
Une quête identitaire, c'est lorsqu'on entreprend une quête afin d'apprendre à se connaitre et de définir notre identité. Cette quête peut prendre plusieurs formes.
Par exemple, une personne peut tenter de retracer ses ancêtres et de créer un arbre familial.
Une autre personne peut vouloir apprendre à se connaitre en voyageant et en découvrant le monde! :D
J'espère t'avoir aidé! Si tu as d'autres questions, n'hésite pas à nous réécrire. Nous te répondrons avec plaisir!
Laurie :)
Re: Question
Bonjour!
Oui! Il est préférable de choisir les sciences ST afin de pouvoir accéder aux études pour ces professions. :D
Laurie :)
Re: Question
Bonjour!
Non, la Terre n'était pas rouge. Elle était, au départ (il y a très très longtemps) couverte de roche. Elle a graduellement pris l'apparence qu'elle a aujourd'hui. :)
Si tu as d'autres questions, n'hésite pas à nous réécrire. Nous te répondrons avec plaisir! :D
Laurie :)




