Discussion List
-
Verified by Alloprof
Secondary III • 1yr.comment je fait pour faire de problem si Svp merci
-
Verified by Alloprof
Secondary IV • 1yr.Bonjour alloprof ma prof m'avait donné un document de revision pour l'examen de demain mais j'ai absolument aucune idée comment faire ce numéro alors poircez vous me dire ce qui est faire pour que comme ca demain si il y a un problème de même dans l'examen je pourrais le faire
J'ai vu les fichiers mais J'arrive pas
Svp je suis presentment en echec
-
Verified by Alloprof
Secondary IV • 1yr.Je sais pas quoi faire apres pour trouver la mesure de AE et de AH
Aidez moi svp
J'ai un examen demain
-
Verified by Alloprof
Secondary IV • 1yr.bonjour CEST écrit dans mon corriger que le point sont (0,5) et (-2,1) mais je comprend pas comment ont peut avoir ces point
-
Verified by Alloprof
Secondary IV • 1yr.Comment on représente ce graphique
-
Verified by Alloprof
Secondary IV • 1yr.j'arrive pas a faire cette question et surtotut la droite de D
-
Verified by Alloprof
Grade 5 • 1yr.Bonsoir :D
En fait, je ne comprends pas c'est quoi un segement et l'angle au centre...
Pouvez-vous m'aider s.v.p ??
Bonne soirée :)
-
Verified by Alloprof
Grade 4 • 1yr.Bonjour, avez-vous des conseils pour la résolution de problème mathématique? Merci!!!
-
Verified by Alloprof
Secondary I • 1yr.Allo quelque qu’un pourrait m’aider avec les chiffres romain je comprend rien :(
-
Verified by Alloprof
Grade 5 • 1yr.Bon matin :D
En fait je viens de faire une résolution de problème mais je ne suis pas sure est-ce que mes réponses sont mauvais....
Pouvez-vous m'aider s.v.p ??
Merci :D
-
Verified by Alloprof
Grade 5 • 1yr.Salut !
Je ne comprends pas comment je vais faire 9 x 3/8 ( fraction ) ??
Merci :D
-
Verified by Alloprof
Secondary V • 1yr.Bonjour pour le domaine il y a trois point donc ça doit être -8,4 pour l'image -4,0,2 il y a même un point au zéro ?
-
Verified by Alloprof
Grade 5 • 1yr.How do I multiply fractions?
-
Verified by Alloprof
Secondary II • 1yr.Hi can someone help with this math question please
-
Verified by Alloprof
Grade 5 • 1yr.Bonjour :D
En fait, je viens de compléter mes devoirs, mais je ne suis pas sure est-ce que mes réponses sont correctes..
Pouvez-vous m'aider s.v.p ??
Merci beaucoup :)
-
Verified by Alloprof
Grade 5 • 1yr.Bonjour alloprof! Est ce que ce solide suivant a 72 arrêts (désolé mais je ne suis pas sûr de ma reponse).Merci d'avance!
-
Verified by Alloprof
Secondary I • 1yr.Evaluate the following. Show all the steps.
Order of Operations
-
Verified by Alloprof
Secondary I • 1yr.Comment puis-je transformer les nombres suivants dans les bases ci-dessous? Je ne comprend toujours pas comment faire.
-
Verified by Alloprof
Secondary I • 1yr.Comment faire cela? J’ai un examen demain et j’ai de la difficulté à trouver l’inconnu.
-
Verified by Alloprof
Grade 1 • 1yr.How is subtracting integers like adding integers? How is it different?
-
Verified by Alloprof
Grade 6 • 1yr.Bonjour, Je veux avoir une méthode simple pour expliquer resolution de problemes mathématique à mon enfant du 6eme année primaire. Merci
-
Verified by Alloprof
Secondary III • 1yr.Bonjour
J'ai quelques exercices que je ne comprends pas dans un document formatif fourni par mon professeur,
Pouvez-vous m'aider s'il vous plaît ? Merci d'avance et joyeuses pâques !P.s:les numéros 6 et 7 sont ceux que je ne comprends pas le plus
-
Verified by Alloprof
Secondary III • 1yr.Bonjour alloprof pouvez-vous me dire quelles sont les ensembles de référence que je dois utiliser je veux dire les ensembles de référence comme N, Z tu voilà pouvez-vous men donner merci?
-
Verified by Alloprof
Secondary IV • 1yr.est ce que je peux avoir les précédents examens ministériels en mathématiques pour pouvoir pratiquer je fais le math de SN
-
Verified by Alloprof
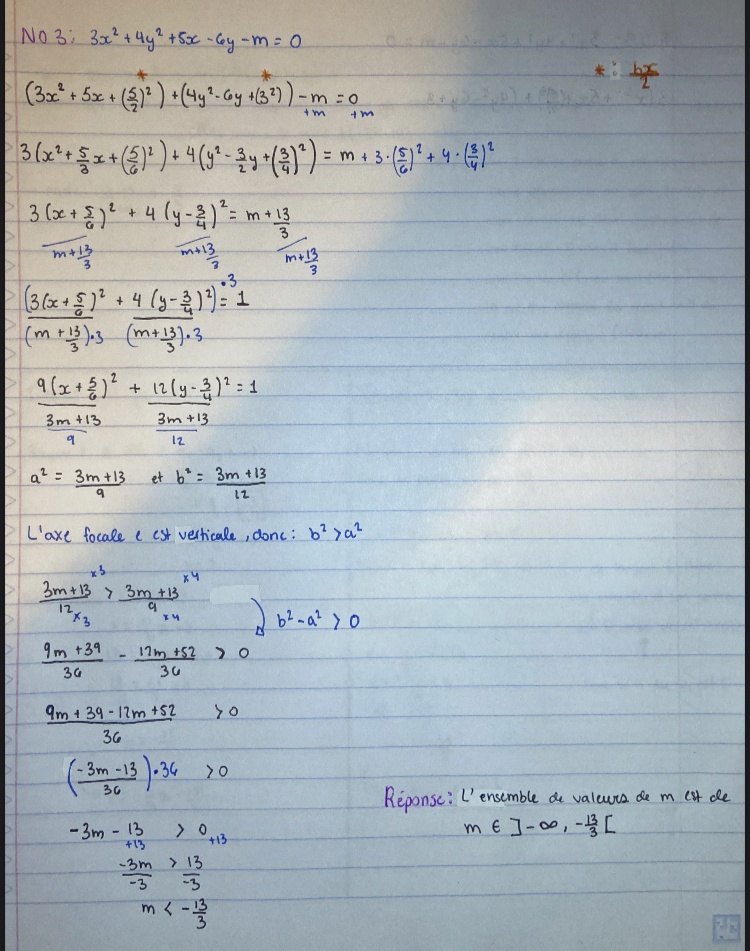
Secondary IV • 1yr.Je dois Faire quoi ici?
-
Verified by Alloprof
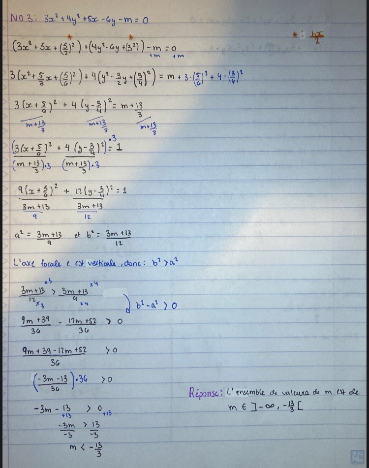
Secondary IV • 1yr.Je dois faire quoi ici?
-
Verified by Alloprof
Secondary IV • 1yr.Je dois faire quoi Ici?
-
Verified by Alloprof
Secondary IV • 1yr.Je dois fairebquoi Ici?
-
Verified by Alloprof
Secondary IV • 1yr.Je comprends pas quoi faire ici?
-
Verified by Alloprof
Secondary IV • 1yr.Qu est ce que je dois faire ici?































