Secondary V • 2yr.
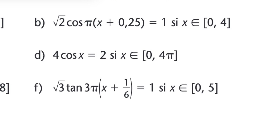
Allo, je ne comprends pas comment résoudre des problèmes de ce type. Est-ce que il y a quelqu’un qui peut m’aider svpp mercii
Allo, je ne comprends pas comment résoudre des problèmes de ce type. Est-ce que il y a quelqu’un qui peut m’aider svpp mercii
Explanation verified by Alloprof
This Explanation was verified by a member of the Alloprof team.
Bonjour MarsOptimiste5264,
Merci d'utiliser la zone d'entraide pour te venir en aide.
Ce sont ici des équations trigonométriques à un seul rapport que tu dois résoudre. La majeure différence est que tu devrais avoir 2 réponses différentes pour les équations de rapport sinus et cosinus, mais une seule pour une équation tangente.
Afin de bien comprendre la bonne manière de résoudre les équations trigonométriques, je t'invite à consulter les 3 fiches suivantes liées à la résolution d'équations pour les 3 rapports:
Tu peux t'inspirer de l'explication suivante.
J'espère que j'ai pu répondre à ta question,
N'hésite pas à nous poser des questions à nouveau,
Ne lâche pas,
AigleInsolite2809