Populaires
Re : Question
Salut PamplemousseRose2890! 😎
Avec le temps, les plaques tectoniques et les continents se sont éloignés, ce qui donne le monde actuel. Avant tout ça, il y avait ce qu'on appelle la Pangée. celle-ci regroupait l'Amérique avec l'Europe et l'Asie.
Donc, si des montagnes se sont formées à ce moment et qu'elles se sont ensuite éloignées, elles ont en effet appartenues à la même chaine de montagne.
J’espère que la réponse t’a aidé! Ne te gêne pas si tu as d’autres questions, ça va me faire plaisir d’y répondre! 😊
PoutineOrange5768Â
Re : Question
Bonjour,
Résolvons ce problème ensemble :
24800 * 2^(x/30) = 29500*2^(x/40)
Premièrement, appliquons le logarithme des deux côtés pour faire descendre les exposants :
log(24800 * 2^(x/30)) = log(29500*2^(x/40))
Comme c'est maintenant, on ne peut pas faire descendre l'exposant.
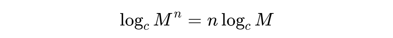
Rappel :
Donc, pour pouvoir faire descendre les exposants, nous devons d'abord séparer les produits :
log(24800) + log(2^(x/30)) = log(29500) + log(2^(x/40))
Ainsi,
log(24800) - log(29500) = log(2^(x/40)) - log(2^(x/30))
log(24800) - log(29500) = (x/40)*log(2) - (x/30)*log(2)
Je te laisse poursuivre.
Voici un lien utile :
Bonne journée
Re : Question
Salut AbeilleJaune4873! 😎
Tu peux poser des questions à n'importe quelle heure, mais les modérateurs sont présents jusqu'à 22h!
Ne te gêne pas si tu as d’autres questions, ça va me faire plaisir d’y répondre! 😊
PoutineOrange5768Â
Re : Question
Salut ArgentSarcelle5992! 😎
L’idée importante à comprendre, c’est que les lois de Kirchhoff servent à analyser ce qui se passe dans un circuit électrique, surtout quand il y a plusieurs branches. Elles permettent de comprendre comment le courant se sépare et comment il circule dans différentes parties du circuit.
La formule dont tu parles sert surtout quand on travaille avec des éléments en parallèle. Elle permet de comprendre que, dans un circuit où il y a plusieurs chemins possibles, le courant ne se comporte pas comme dans un circuit simple en série. Il se partage entre les branches, et certaines branches laissent passer plus de courant que d’autres selon la résistance de celle-ci.
https://www.alloprof.qc.ca/fr/eleves/bv/sciences/les-lois-de-kirchhoff-s1167
J’espère que la réponse t’a aidé! Ne te gêne pas si tu as d’autres questions, ça va me faire plaisir d’y répondre! 😊
PoutineOrange5768Â
Re : Question
Bonjour, AbeilleJaune4873! :)
Merci d'utiliser la Zone.
Non, entre profs, nous ne clavardons pas par cette boîte de messagerie, elle est plutôt conçue pour les élèves!
En te souhaitant une excellente soirée! :)
Iris
Re : Question
Bonjour, PamplemousseRose28901 :)
Merci d'utiliser la Zone d'entraide.
La lithosphère est la couche externe solide de la Terre. Elle comprend la croute terrestre et la partie supérieure du manteau.
La lithosphère est essentielle au maintien de la vie. Elle fournit une base d’enracinement aux végétaux tout en leur procurant les éléments nécessaires à leur croissance, tels que le carbone, l’azote et le phosphore. Les végétaux sont à la base des chaines alimentaires. Les êtres humains dépendent aussi de la lithosphère puisqu’elle fournit de nombreuses ressources minières et pétrolières.
Tu retrouveras toutes ces informations et plus encore dans cette fiche:
Ensuite, non, la croute terrestre n'est pas la même qui a existé il y a des millions d'années. Cela est dû aux mouvements des plaques tectoniques. Effectivement, les grandes plaques situées au niveau de la croute terrestre et de la couche supérieure du manteau sont toujours en mouvement. Ce mouvement permet la création de nouvelles parties de la croûte terrestre. Celle-ci est donc continuellement renouvelée. :)
Voici une fiche sur les plaques tectoniques:
En cette semaine de la persévérance scolaire, je tiens à te féliciter pour tes efforts à l’école, ce n'est pas toujours facile, mais ta persévérance fait toute la différence 🎉💫. Alloprof est là pour t’aider si tu en as besoin.
Iris
Re : Question
Salut RorqualChouette1650! 🚤
Les activités humaines peuvent augmenter l’érosion. L’érosion, c’est quand l’eau ou le vent enlève et transporte la terre ou les roches. Par exemple, quand on coupe des arbres, les racines ne retiennent plus le sol et la pluie peut l’emporter plus facilement. La construction de routes et de maisons enlève aussi la végétation qui protégeait le sol.
Les vagues de bateau peuvent aussi causer de l’érosion. Quand des bateaux passent souvent près des rives, les vagues frappent les berges et enlèvent peu à peu la terre. Avec le temps, la rive peut reculer.
Pour limiter ces impacts, on peut planter des arbres et des plantes pour garder le sol en place. On peut aussi protéger les rives avec de la végétation et limiter la vitesse des bateaux près des berges.
J’espère que la réponse t’a aidé! Ne te gêne pas si tu as d’autres questions, ça va me faire plaisir d’y répondre! 😊
PoutineOrange5768Â
Re : Question
Bonsoir GeaiEnthousiaste8526,
Merci d'utiliser la zone d'entraide,
Les longues chaînes de montagnes peuvent se former par deux grands processus tectoniques. Le premier est la collision de deux plaques continentales. Lorsque deux plaques se rencontrent, elles se compriment, se plissent et s’épaississent, ce qui entraîne la formation de montagnes très élevées. C’est ainsi que se sont formées les Himalaya, à la suite de la collision entre la plaque indienne et la plaque eurasienne.
Le deuxième processus est la subduction. Dans ce cas, une plaque océanique, plus dense, glisse sous une plaque continentale. Cette pression provoque un soulèvement de la croûte terrestre et la formation d’une chaîne de montagnes le long du continent. C’est le cas des Andes, situées sur la côte ouest de l’Amérique du Sud.
Dans le cas du drapeau situé au Chili, le phénomène responsable de son élévation est la subduction. La plaque océanique Nazca s’enfonce sous la plaque sud-américaine, ce qui soulève progressivement le territoire. L’élévation de 2 cm par année s’explique donc par cette activité tectonique continue.
Ne lâche pas, bonne étude, bon travail, bon succès et n'hésite pas à revenir nous voir si tu as d'autres questions!
LefraniResponsable4446
Re : Question
Bonjour PicZen9869,
Merci beaucoup pour ta question! Ici, si on reformule, on te demande de trouver les valeurs de x qui vont nous permettre d'obtenir un y de 3. Pour y arriver, tu devras donc mettre ton équation égale à 3. Comme ceci :
3 = 2x²-8x+6
Ensuite, pour résoudre une formule polynomiale de second degré, tu dois utiliser la formule quadratique. Cependant, pour utiliser cette formule, tu devras mettre ton équation égale à zéro. Tu devras donc ramener ton 3 de l'autre côté afin d'obtenir une équation égale à zéro. Finalement, tu n'auras qu'à entrer tes chiffres dans la formule suivante :
Voici une fiche qui pourrait t'aider pour la suite de ton problème :
J'espère avoir répondu à ta question. N'hésite pas à nous réécrire si des questions persistent!
Re : Question
Bonjour, ChevalAimable296! :)
Merci d'avoir pris le temps de nous écrire.
C'est normal de stresser quand on a des échéances à respecter. Le meilleur conseil que j'ai à te donner, c'est de diviser ton livre en un certain nombre de pages à lire par soir, ça te paraitra beaucoup plus atteignable!
De plus, ne te prends surtout pas à la dernière minute. Tu paniqueras beaucoup moins si tu lis quelques pages par jour jusqu'à la fin du défi. :)
Voici quelques stratégies de lecture pour rendre ta lecture plus facile et amusante:
J'espère avoir pu t'aider! N'hésite pas à nous recontacter si tu as d'autres questions. À bientôt sur la Zone d'entraide! :D
Iris


