Liste de discussions
-
Vérifiée par Alloprof
Secondaire 1 • 1acomment signifie quelconque parce que je joue a la foire
-
Vérifiée par Alloprof
Secondaire 2 • 1apouvez vous m’expliquer comment trouve la valeur de (n) dans cette expression algébrique.
-2n+(n-5)=3n-(n+2)
-
Vérifiée par Alloprof
Secondaire 2 • 1aJe ne comprend pas merci de me répondre :)
-
Vérifiée par Alloprof
Primaire 6 • 1aEst-ce quelqu'un pourrait me donner un truc pour apprendre mes tables par coeur ? J'ai de la misère
Mercii de votre aide..!
-
Vérifiée par Alloprof
Primaire 4 • 1acomment peut tu tricher en classe
-
Vérifiée par Alloprof
Primaire 6 • 1aje n'ai pas totalement comprie comment faire des multiplication 4 chiffre et debout
Merci de la chance que vous me laissez de poser des questions! Merci encore
-
Vérifiée par Alloprof
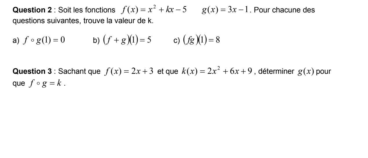
Secondaire 4 • 1aJ'ai besoin d'aide pour faire cet exercice. Quelles sont les étapes ?
-
Vérifiée par Alloprof
Secondaire 2 • 1aBonjour,
cette résolution de problème algébrique est différente de ce que je connais. Je ne sais pas comment le traduire en équation.
Merci d’avance!
-
Vérifiée par Alloprof
Primaire 4 • 1a¯¯¯¯¯¯¯C`est quoi le nom du solide qui à 35 cotés.
-
Vérifiée par Alloprof
Secondaire 3 • 1abjr! svp j'aimerai qu'ont m'aide avec cette exercice?!
-
Vérifiée par Alloprof
Secondaire 3 • 1aBonjour je ne comprend pas comment faire cette exercice pouvait vous m'aider c’est le num 7
-
Vérifiée par Alloprof
Secondaire 1 • 1aComment calculer un tiers au carre
-
Vérifiée par Alloprof
Secondaire 5 • 1aComment est-ce que je trouve une coordonnée trigonométrique pour un point trigonométrique. En ligne je ne trouvent que des sites qui parle d'angles. Je n'ai pas le droit à une calculatrice.
-
Vérifiée par Alloprof
Primaire 5 • 1aRebonjour c'est comment faire la multiplication et la division par 10 100 1000 des nombre décimaux
-
Vérifiée par Alloprof
Primaire 5 • 1aAllo alloprof comment faire la multiplication et la division par 10 100 1000 svp
-
Vérifiée par Alloprof
Primaire 4 • 1aBonjour vous pouvez répondre a 1425+3452.
Merci d'avance.
-
Vérifiée par Alloprof
Secondaire 1 • 1aComment faire 4x4 mentalement. Ce qui veut dire sans calculatrice
-
Vérifiée par Alloprof
Secondaire 1 • 1aQuelqu’un peut m’aider svp
-
Vérifiée par Alloprof
Primaire 6 • 1aJe ne comprends pas comment calculer la surface d'un trapeze
-
Vérifiée par Alloprof
Secondaire 4 • 1aJe ne comprend comment résoudre ce problème pouvez-vous m’aidez svp
-
Vérifiée par Alloprof
Secondaire 3 • 1aAllo j’aimerais calculer la quantité de laine pour mon plafond. dep charpenterie menuiserie merci
-
Vérifiée par Alloprof
Secondaire 3 • 1aI don't understand the both questions c) and d)
-
Vérifiée par Alloprof
Secondaire 3 • 1aI don't understand the b)
-
Vérifiée par Alloprof
Postsecondaire • 1aBonjour est ce quelqu’un pourrait m’expliquer le concept du carre parfait.
merci!
-
Vérifiée par Alloprof
Secondaire 1 • 1acomment convertir des fraction en ml
-
Vérifiée par Alloprof
Primaire 5 • 1aje sais pas ses quoi cette écoition tu peux maider s.v.p g(1)= je ne conpren pas vous pourrais maider
-
Vérifiée par Alloprof
Secondaire 1 • 1aAllo, est ce que 81% est réductible en fraction ?? Pour le moment, je ne trouve que 81/100 et je n’arrive pas à réduire plus ! Quel est leur “divisionneur” commun ??
Merci ☺️
-
Vérifiée par Alloprof
Primaire 1 • 1ail y a besoin de 7+3=10
-
Vérifiée par Alloprof
Secondaire 5 • 1aJ'ai un peut de difficulté dans mon cour de maths 12ème fonctions avancées. C'est notre dernière unité.
-
Vérifiée par Alloprof
Primaire 6 • 1abonjour les personnes d'Alloprof, pouvez vous me denner des multiplication de 4 chiffre s.v.p s'est pour me pratiquer pour mon exam de math j'ai pas envie de la couler mon exam












