Liste de discussions
-
Vérifiée par Alloprof
Secondaire 2 • 1aTrouve la valeur de l'expression algébrique selon que x = - 2
9 ( 3x + 2)
-
Vérifiée par Alloprof
Secondaire 5 • 1aBonjour, j'ai de la difficulté a faire ce problème de math. Je ne sais pas si il y a une formule que je peux prendre ou non. Merci de l'aide!
Je dois factoriser complètement l'image.
-
Vérifiée par Alloprof
Secondaire 5 • 1aRebonsoir,
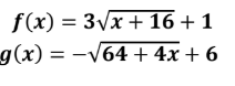
Comment ont trouve la valeur de ce x ?
-
Vérifiée par Alloprof
Secondaire 5 • 1aBonsoir,
Quelles sont tous les manières possible de résoudre ce système d'équation ?
-
Vérifiée par Alloprof
Secondaire 4 • 1aSalut!
Avec une fonction partie entière, je sais que -3[0,2(x-1)]+2=11 et si je veux savoir s'il y a des zéros est-ce que je dois faire -11 de chaque côté? Ainsi, j'ai -3[0,2(x-1)]-9=0 et il y a des zéros si k/a est entier. Il y a donc des zéros vu que k/a = -9/3 = -3 et c'est entier?
Aussi, avec une fonction partie entière, si je cherche une valeur de y ainsi que la règle de la fonction et qu'on me donne l'intervalle représentant les valeurs de x. Par exemple, la règle est h(x) = 6[0,05(x-15)]+12 et je sais que x ∈ [-25,-5[ et je dois chercher la valeurs de x associée à ces valeurs de x. Est-ce que je dois chosir une valeur de x de mon choix de l'intervalle et la remplacer dans la règle dans ce cas?
Merci beaucoup d'avance!!
-
Vérifiée par Alloprof
Primaire 6 • 1aBonsoir j'aimerais une explication sur la distributivité, la décomposition d'un nombre et les expression équivalentes s'il vous plaît.
-
Vérifiée par Alloprof
Secondaire 3 • 1aAllo Prof j’ai du mal à la question R merci
-
Vérifiée par Alloprof
Secondaire 4 • 1aBonjour alloprof cela sera plus facile pour moi de dessiner la fonction défini par partie merci?
-
Vérifiée par Alloprof
Secondaire 4 • 1aBonjour alloprof je n'ai pas très bien compris ce que je dois faire dans ce problème. Pouvez vous m'expliquer ce que je dois faire et dessiner?
-
Vérifiée par Alloprof
Secondaire 5 • 1aBonjour,
J'ai de la difficulté avec ce problème. Est-ce qu'il y a deux règles, une pour la natalité et l'autre pour la mortalité, ou juste une?
Merci.
-
Vérifiée par Alloprof
Secondaire 3 • 1aAllo prof je sais pas si j’ai bien répondu à la question Q dois je inclure la hauteur? Et il y as la question R que je ne comprends pas. Merci.Charpenterie menuiserie
-
Vérifiée par Alloprof
Secondaire 3 • 1aBonjour, Alloprof,
Je ne comprends pas du tout c’est quoi une moyenne pondérée ainsi que l’étendue interquartile, en statistiques.
Merci infiniment
-
Vérifiée par Alloprof
Secondaire 4 • 1aVoici l’explicatif de mon exercice que je n’arrive pas à solutionner.
-
Vérifiée par Alloprof
Secondaire 2 • 1aSalut!
J'ai un CD1 est j'arrive pas a comprendre comment faire la demarche du CD1 je sais pas par ou commenssais. SVP help
-
Vérifiée par Alloprof
Secondaire 3 • 1aAllo Prof. Je ne comprends pas la Question p. Merci.
-
Vérifiée par Alloprof
Secondaire 5 • 1aBonjour,
J'ai du mal avec la dernière étape de ce problème.
Merci.
-
Vérifiée par Alloprof
Secondaire 4 • 1aBonjour alloprof comment je trouve le b?
Comment je trouve la règle Est ce que je choisit n'importe quel point?
-
Vérifiée par Alloprof
Secondaire 4 • 1aBonjour alloprof qu'est ce que je fais déjà avec ce k?
-
Vérifiée par Alloprof
Secondaire 4 • 1aBonjour alloprof j'ai répété plusieurs fois. J'ai cherché le fichier qui montre la formule comment trouver le rapport ça n'explique pas ça?
-
Vérifiée par Alloprof
Secondaire 3 • 1aBonjour!
Comment fait-on pour trouver le périmètre de la base d'un prisme (valeur demandée pour trouver l'aire latérale) ?
-
Vérifiée par Alloprof
Secondaire 3 • 1aAllo Prof j’ai du mal à la question o.merci.
-
Vérifiée par Alloprof
Secondaire 4 • 1aÇa ne m'a pas aidé au complet parce que je ne suis pas d'accord qu'il faut faire 21 divisé par 4=5,25
-
Vérifiée par Alloprof
Secondaire 4 • 1aBonjour j'ai cherché la formule qui montre comment trouver la formule mais je n'ai pas trouvé de formule qui explique comment trouver le rapport?
-
Vérifiée par Alloprof
Secondaire 2 • 1aest ce que vous pouvez me donner des fiches d'examen avec correction
-
Vérifiée par Alloprof
Secondaire 1 • 1acomment bien résoudre une chaine d'oppération avec fraction
-
Vérifiée par Alloprof
Secondaire 2 • 1aBonjour je ne comprend pas très bien cette exercice l'ai essayer à plusieurs reprises mais je n'y arrive pas.. Est-ce que vous pouvez m'expliquer cette exercice ci-dessous svp?Merci d'avance!
-
Vérifiée par Alloprof
Secondaire 1 • 1aComment gérer mon temps lors d'une longue évaluation C1
-
Vérifiée par Alloprof
Secondaire 2 • 1aSalut, je n'arrive pas à résoudre ce problème: Deux nombre on une différence de 36. la somme de ces deux nombres représente 6 fois la valeur du plus petit. De quel nombre s'agit t-il?
Quelqu'un peut m'aider?
-
Vérifiée par Alloprof
Secondaire 3 • 1aAllo Prof j’aimerais être sure si j’ai bien répondu à la question N. Merci.
-
Vérifiée par Alloprof
Primaire 4 • 1aCest quoi un nombre triangulaire


























