Liste de discussions
-
Vérifiée par Alloprof
Secondaire 4 • 1aBonjour alloprof j'ai trouvé le x mais ça donne nombre décimal Est ce que c'est normal?
-
Vérifiée par Alloprof
Secondaire 5 • 1aBonjour,
Quand j'entre les informations suivantes dans ma calculatrice scientifique de cellulaire ou sur l'ordinateur, ça indique le message d'erreur "non défini".Ai-je mal inscrit les données? J'ai aussi essayé avec les parenthèses pour toute l'équation dans la racine.
J'ai aussi essayé de mettre au carré 27.949 et -50.934, d'effectuer la soustraction puis d'appliquer la racine et ça ne fonctionne toujours pas (encore l'erreur "non défini".Est-ce parce que c'est un chiffre négatif...?
-
Vérifiée par Alloprof
Secondaire 4 • 1aBonjour j'ai réussi à trouver l'erreur mais j'écris quoi ici
-
Vérifiée par Alloprof
Secondaire 4 • 1aBonjour alloprof Est ce que c'est normal que j'ai des nombre décimal à l'infini pour le x?
-
Vérifiée par Alloprof
Secondaire 1 • 1aBonjour,
je n'ai pas bien compris comment diviser un nombre décimale avec un autre nombre décimale. Et je ne sais aussi pas comment diviser un nombre entier avec un nombre décimale.
J'espère que vous allez m'expliquer et me répondre
-
Vérifiée par Alloprof
Primaire 5 • 1aC'est quoi un nombre triangulaire?
-
Vérifiée par Alloprof
Secondaire 5 • 1aJe vois! Merci pour l'explication : https://www.alloprof.qc.ca/zonedentraide/discussion/113499/question
Toutefois, je ne comprends pas pourquoi dit-il 3% annuellement puis calculer tous les 6 mois. Si x est le nombre d'années, n'avons nous pas techniquement payer 3%? Pourquoi 1.015?
Merci!
-
Vérifiée par Alloprof
Secondaire 5 • 1aBonsoir! Pourriez vous m'aider a trouver la règle du #3?
Je n'arrive pas a trouver le c...
Merci!
-
Vérifiée par Alloprof
Secondaire 4 • 1aBonjour alloprof
1)on dit demontrer algebriquement. Estce quote cell peur dire question je dois utilise les variables x et y?
2) quelles sont les resultats? Je ne sais pas quel resultat on parle.
-
Vérifiée par Alloprof
Secondaire 5 • 1aBonjour,
Comment réduire ce logarithme ?
Merci.
-
Vérifiée par Alloprof
Secondaire 4 • 1aBonjour alloprof voulez vous me donner un dessin sur ce probleme?
-
Vérifiée par Alloprof
Secondaire 4 • 1aBonjour alloprof j'ai trouvé la fonction du BD mais je ne sais pas comment je peux trouver les coordonne du D et B pusquil nya aucune indice et le y du D est 0 mais ce nest pas asset pour trouver x puisquil manque lordonne a lorigine (b) du -3/2?
-
Vérifiée par Alloprof
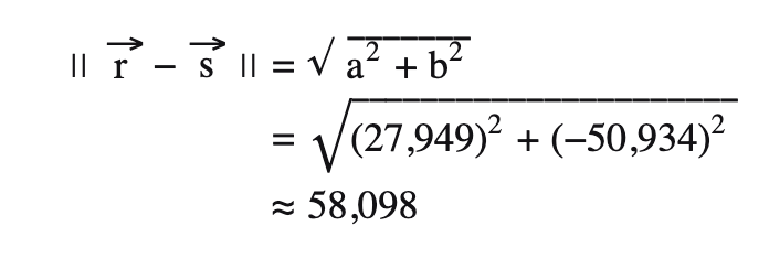
Secondaire 5 • 1aBonjour,
Ce calcul ne fonctionne pas sur ma calculatrice de la question 3 des choix multiples sur les vecteurs.
-
Vérifiée par Alloprof
Secondaire 5 • 1aBonsoir, pourriez vous m'aider avec ceci;Je ne comprend même la syntaxe du problem. Le 3% est pour les 6 mois ou toute l'année?
Car ce dont j'ai marqué est la bonne réponse du corriger toutefois, je ne comprend pas pourquoi si x= nbr d'année, on fait pas juste 5000(1.03)^x ?
Merci!
-
Vérifiée par Alloprof
Secondaire 1 • 1aComment faire ses calcul avec le numérateur ?
-
Vérifiée par Alloprof
Secondaire 1 • 1atitus est ne en-46 ,il est décédé a 18 ans. en quelle année est t-il mort
-
Vérifiée par Alloprof
Secondaire 3 • 1aComment je fais pour pratiquer la compétence 1 à la maison ? Je viens de faire une CD1 à l'école et je suis resté bloqué au début donc je vais avoir une très mauvaise note :( Je suis en secondaire 3
-
Vérifiée par Alloprof
Secondaire 5 • 1aBonjour! J'ai de la misère à identifier la variable b dans les problèmes ecrit de fonction exponentielle. Par exemple dans ce problème
Pourriez-vous m'aider? Quel question je peux me poser ou trucs je peux faire pour savoir à 100% c'est quoi la valeur de mon b?Merci
-
Vérifiée par Alloprof
Secondaire 5 • 1abonjour âlloprof pouvez vous maidez avec ce problème svp mercii
-
Vérifiée par Alloprof
Primaire 4 • 1aque fait 1946 x 638² ca fait quoi
-
Vérifiée par Alloprof
Primaire 5 • 1a -
Vérifiée par Alloprof
Postsecondaire • 1aBonjour, je ne comprend pas comment ils ont trouver cos et sin malgré les corrections . Merci d’avance!
-
Vérifiée par Alloprof
Postsecondaire • 1aJai oubliée de mentionner dans ma question précédent que c’est à cause de mes notes de cours de sec4 ts qui me mélange avec la correction du ts5. Est ce que ça veut dire que le côté où il y a un carré devient o ou a?
merci d’avance!
-
Vérifiée par Alloprof
Postsecondaire • 1aBonjour, je ne comprends pas pourquoi les calcules sont comme ça dans le corrigé. Par exemple , je pensais que pour sin c’était o/h donc 3.87 sur 4 et non 1/4 . Puis, est ce que cotg c’est la même chose que cotan? Merci d’avance!
-
Vérifiée par Alloprof
Secondaire 2 • 1aBonjour! C,est juste qu' il ya une probleme que je ne comprend pas .
Laurie doit déterminer la mesure manquante d'un des angles intérieurs d'un triangle obtuangle. Elle sait que l'angle obtus mesure( 4x+45) degrés et qu'un des deux angles aigus mesure (2x) degrés. Quelle est la mesure manquante du troisième angle?
-
Vérifiée par Alloprof
Postsecondaire • 1aBonjour j’essaye de faire cette devoir mais j’ai de la misère.
-
Vérifiée par Alloprof
Postsecondaire • 1aBonjour je ne comprends pas cette question.
-
Vérifiée par Alloprof
Secondaire 2 • 1aBonjour! c'est qu'il ya un probléme que je ne comprend pas.
Un terrain a la forme d'un trapèze isocèle. La petite base mesure (3x+9) m. La grande base mesure les quatre tiers de la petite base. Chacun des deux autres côtés me sure le quart de la grande bese. Si x= 12,3, quel est le périmétre du terrain?
-
Vérifiée par Alloprof
Secondaire 5 • 1aBonjour je me demandais comment on réecrie une expression sous forme logarithmique vers une forme exponentielle ?
-
Vérifiée par Alloprof
Secondaire 4 • 1aPourquoi [0,6] est décroissant puisqu'il est constant?






















