Liste de discussions
-
Vérifiée par Alloprof
Secondaire 4 • 1aSalut, j’ai un peu de difficulté à comprendre le document du ministère sur les notions qu’il y aura à l’examen SN-4. Donc voici ma question, est-ce qu’il va y avoir la fonction partie entière dans l’examen?
Merci
-
Vérifiée par Alloprof
Secondaire 4 • 1aVolume d'un cylindre est de 1847.26 cm3
Quel est le diamètre
Si la hauteur est 12 cm
-
Vérifiée par Alloprof
Secondaire 1 • 1aSalut!
JE vous ai envoyé cet exercice puisque je ne le comprends pas et je ne comprends pas votre explicstion aidez-moi svp.
Le voici:merci
-
Vérifiée par Alloprof
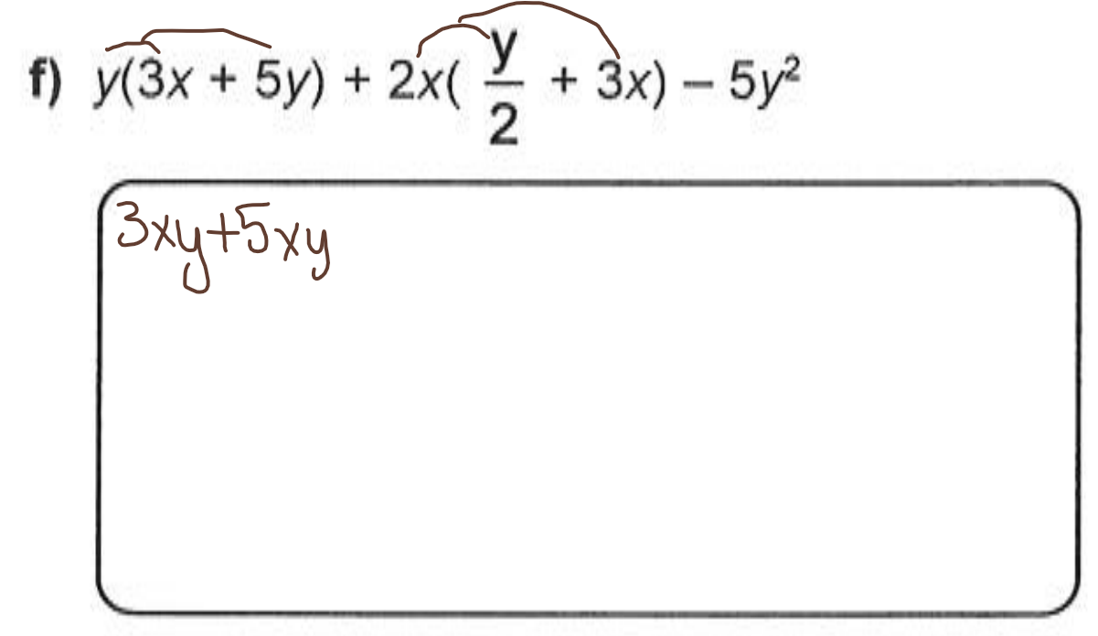
Secondaire 1 • 1aest-ce qu'un expression algébrique peut avoir plus qu'un seul monôme?
-
Vérifiée par Alloprof
Secondaire 3 • 1aBonjour, comment calculer le volume de la médaille ?
Besoin d'explication urgence
Merci, bonne soirée
-
Vérifiée par Alloprof
Secondaire 4 • 1aCoucou! Mon aire doit être plus grande que 10 ou plus petite ou égale à 20… Mon aire est de 76.35 m carré… Je ne comprend pas mon erreur
-
Vérifiée par Alloprof
Secondaire 1 • 1aSvp j'aurais besoin d'aide
-
Vérifiée par Alloprof
Secondaire 1 • 1aBonjour,
J'ai deux questions:
1- C'est quoi la différence entre qualitatif et quantitative discret ou continu?
2- Je ne comprends pas chacune de source de biais.
Merci(>:
-
Vérifiée par Alloprof
Secondaire 2 • 1acomment calculer 39.99$ avec 20$ de rabais?
-
Vérifiée par Alloprof
Secondaire 4 • 1acomment savoir si un trinôme est factorisable par la méthode de factorisation (trinôme carré parfait).
-
Vérifiée par Alloprof
Secondaire 1 • 1aJe dois donner une feuille de note recto verso sur toute L'année de math secondaire 1.
-
Vérifiée par Alloprof
Secondaire 3 • 1abonjour cest quoi cette forme svp ou comment calculer son aire merci
-
Vérifiée par Alloprof
Secondaire 3 • 1avoici le problème: Tu reçois 3 lettres qui contiennent les 26 lettres de l'alphabet. Quels sont les probabilités de sortir les les p,r,i,s,e dans n'importe quel ordre?
voici ce que j'ai fait : n=26 r=5
n-r+1: 22
nX(n-1)X(n-2)x(n-3)x(n-4)
26x25x24x23x22= 1 315 600 x5 puisque 5 lettres
Ca me semble beaucoup trop ai-je la bonne formule ! merci
-
Vérifiée par Alloprof
Secondaire 5 • 1aBonjour, comment on fait pour tracer ce graphique fonction sinus.
-
Vérifiée par Alloprof
Secondaire 4 • 1aComment on fait ici pour isoler la valeur du segment MN
-
Vérifiée par Alloprof
Secondaire 5 • 1aBonjour je ne sais pas comment faire pour faire les méthodes de comparaison , substitution et de réduction sur cette équation.
-
Vérifiée par Alloprof
Secondaire 5 • 1aBonjour ! Je ne suis pas sûre de comprendre le problème. Pourriez-vous m’aider?
-
Vérifiée par Alloprof
Secondaire 4 • 1aEst ce que je peut utiliser la lois des cosinus pour trouver la mesure du segment MN ou bien on peut seulement utiliser cette lois pour trouver la mesure de langage et l’autre segment qui ne se retrouve pas entre les deux angles?
-
Vérifiée par Alloprof
Secondaire 4 • 1aBonjour, je ne comprend pas pourquoi il faut prendre le point à part et pourquoi on ne prend pas les deux s'il faut les prendre.
Merci à l'avance!!
-
Vérifiée par Alloprof
Secondaire 4 • 1aBonjour, j'aimerais savoir comment trouver les zéros d'une fonction escalier? J'ai regardé les explications sur votre site, mais je n'ai toujours pas compris.
Merci
-
Vérifiée par Alloprof
Secondaire 3 • 1astatistique
la moyenne d'Age de participant est de 40 dans un tableau .
age des participants Effectif
0-10 24
10-20 21
20-30 donnée manquante
30-40 donnée manquante
combien de gens avaient entre 20 et 30 ans ?
On se rappel qu il y a 3 personnes de moins entre les 20 et 30ans que de personnes entre 30 et 40 ans .
-
Vérifiée par Alloprof
Secondaire 4 • 1aBonjour, je n’arrive pas à résoudre ce problème. J’ai essayer de plusieurs façon mais je n’ai aucune réponse des choix de réponses.
-
Vérifiée par Alloprof
Primaire 4 • 1aComment vous faites pour etre si bon ont cacul mental adition et soustraction
-
Vérifiée par Alloprof
Primaire 4 • 1aavaient vous des conseils pour lexamen du ministére je suis vraiment stréssé
-
Vérifiée par Alloprof
Secondaire 1 • 1aComment calculer le pourcentage des statistiques? Pour simplifier, comment je peux calculer un effectif en fréquence.
-
Vérifiée par Alloprof
Secondaire 2 • 1aBonjour, pouvez-vous m’aider s’il vous plaît je ne comprends pas trop…
Merci !
-
Vérifiée par Alloprof
Secondaire 1 • 1aBONJOUR!
J'ai un examen demain sur cet exercice. JE ne sais pas le faire. S.V.P aidez-moiMERCI BEAUCOUP (>:
-
Vérifiée par Alloprof
Secondaire 3 • 1aBonjour,
Je suis rendue ici dans cet exercice, mais je ne sais pas quoi faire avec cette fraction. Pouvez-vous m'aider, s'il vous plaît ?
Merci.
-
Vérifiée par Alloprof
Secondaire 1 • 1aBonjour,
Cet exercice, je l'ai faite en classe, donc, je connais la bonne réponse, par contre, je ne sais pas trouver le bon résultat. Pourriez- vous m'Aider svp!merci
-
Vérifiée par Alloprof
Secondaire 3 • 1abonjour je ne comprend pas comment faire pour trouver la règle ?
merci d’avance



















