Liste de discussions
-
Vérifiée par Alloprof
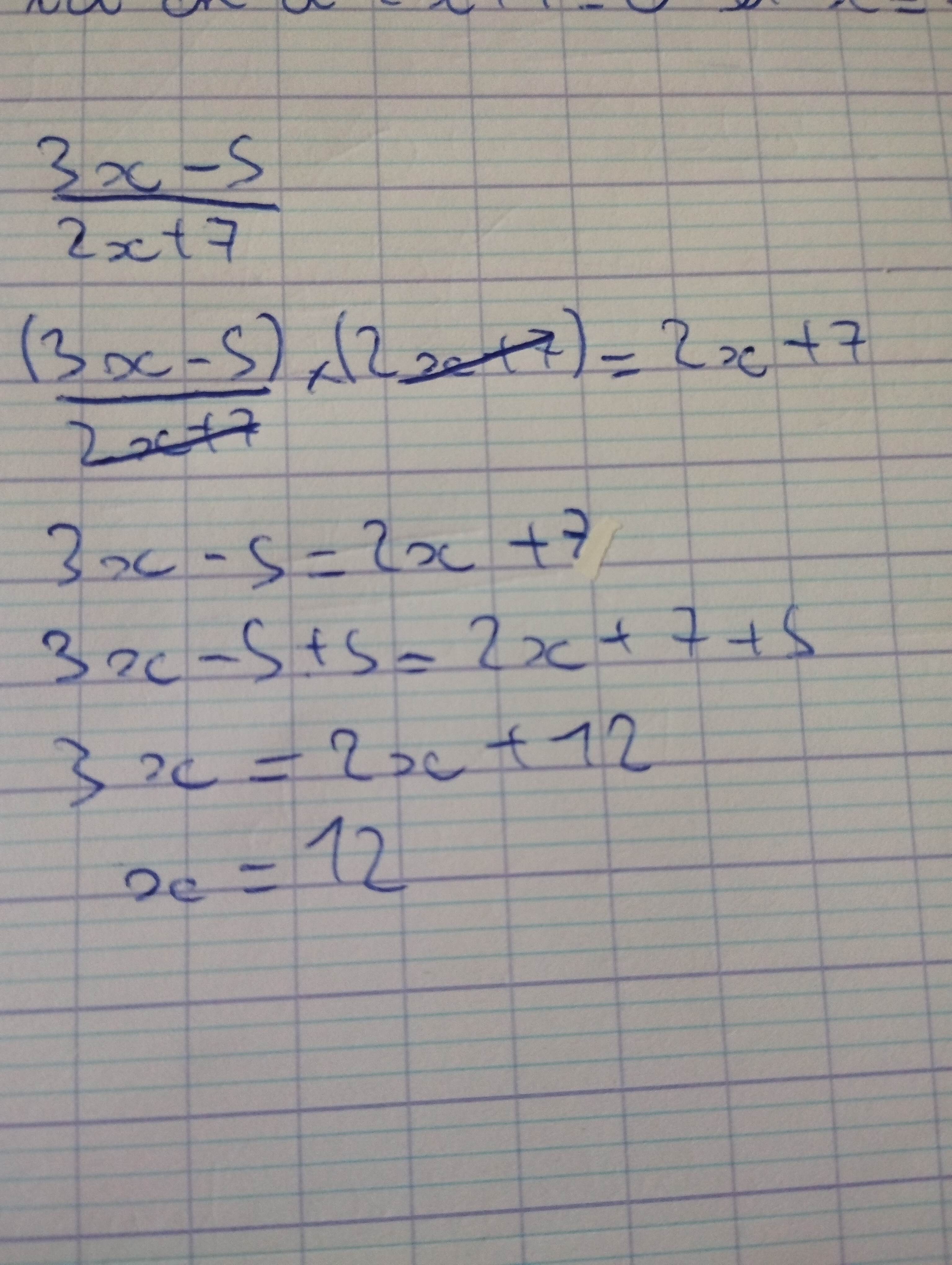
Secondaire 1 • 2mBonjour je ne comprends pas cette équation vous pourriez m'expliquer s'il vous plaît ?
-
Vérifiée par Alloprof
Secondaire 2 • 2mje ne comprends pas ce numéro pouvez vous m'expliquer
-
Vérifiée par Alloprof
Secondaire 2 • 2mBonjour! Je ne comprends pas trop la simplification des équations algébriques... Voici deux exemples
1/3(5/2a-7/2b)-2/5(3/2a-1/3b), ça m'a donné 7/30a-1 1/30b.
8(5a-(2a-3c), ça m'a donné 24a+24c
Merci à l'avance!
-
Vérifiée par Alloprof
Primaire 3 • 2mjaimerais avoir des exercices sur les suites numeriques et non numeriques en 3e annee primaire
-
Vérifiée par Alloprof
Secondaire 1 • 2mje ne comprend pas le PPCM et le PGCD
-
Vérifiée par Alloprof
Secondaire 4 • 2mAllô! J'aurais besoin d'aide (et de conseils :p) pour mes mathématiques SN.
Demain, j'ai un examen sur les fractions algébriques, les divisions de binômes et la multiplication de polynômes. Heureusement, j'ai parfaitemement maîtrisé les divisions de binômes et la multiplication de polynômes. Mais quand vient le temps de réduire des fractions algébriques, c'est toujours une catastrophe et je commence à paniquer puisqu'il me reste juste 1 jour avant l'examen!
Et j'ai tout essayé!!!!!! J'ai fait des maths dans mon cahier à tous les jours, j'ai regardé sur la plateforme i+interactif, mais il n'y avait rien, j'ai essayé Netmath, mais ils parlaient d'affaires comme des équations du second degré qu'on n'a pas appris encore, donc je ne pouvais pas m'avancer. J'ai même demandé à l'intelligence artificielle de me créer des résolutions problèmes!!!!!!!!!!!!!!! Et malgré TOUT ÇA, je fais des erreurs à CHAQUE FOIS que je dois réduire une fraction algébrique d'addition ou de soustraction. Et parfois je comprends mes erreurs. Mais parfois non :( Et ça m'énerve, parce que je n'ai pas envie de couler mes maths fortes à cause d'une niaiserie comme ça!
Pouvez-vous m'aider?? Y a-t-il d'autres ressources que je peux essayer???? Je veux vraiment avoir une bonne note demain et aux prochains examens :'(
-
Vérifiée par Alloprof
Secondaire 5 • 2mBonjour Alloprof ! J’ai besoin d’aide dans la lettre f du numéro 1. En effet, il y a beaucoup d’informations dans le même énoncé et lorsque vient le temps de transcrire l’inéquation j’ai de la difficulté. Pourriez-vous m’expliquer étape par étape pourquoi c’est cette réponse svp. Merci d’avance
-
Vérifiée par Alloprof
Secondaire 1 • 2mC'est quoi la différence entre la commutativité et l'associativité (mathématiques sec 1).
Par example (3X5) X 7= 3 X (5 X7)
-
Vérifiée par Alloprof
Secondaire 2 • 2mA quoi. sert la coupure d'axe
-
Vérifiée par Alloprof
Primaire 3 • 2mcomment apprendre les multiplication par cœur
-
Vérifiée par Alloprof
Secondaire 1 • 2mA quoi sert les coupure d'axe
-
Vérifiée par Alloprof
Primaire 6 • 2mallo desole j avais un ti peut fait mal compendre ma question precedente voici la nouvelle version :
Quels notions en maths dans l examen de ministere est repete le plus souvent
-
Vérifiée par Alloprof
Primaire 6 • 2mPlus de jeu en math svp
-
Vérifiée par Alloprof
Secondaire 1 • 2mcomment fait t on pour reviser des math en sec 1 si on etait fort avant mais on commence a couler
-
Vérifiée par Alloprof
Secondaire 2 • 2mComment calculer le périmètre en algèbre ?
-
Vérifiée par Alloprof
Primaire 5 • 2mplus de jeu de math svp
-
Vérifiée par Alloprof
Primaire 4 • 2mComment je peux avoir une prof de quatrième année
-
Vérifiée par Alloprof
Secondaire 3 • 2mBonjour je ne comprends pas cette exercice :
MerciAraLucide2414
-
Vérifiée par Alloprof
Primaire 3 • 2mBONJOURRRRRRR!!!!! Mon nom est Reem jaimera avoir une expliquation sur les angle sa mé fais vraiment pas aucune idée
-
Vérifiée par Alloprof
Primaire 6 • 2mC’est quoi un exposant
-
Vérifiée par Alloprof
Primaire 5 • 2mBonsoir
demain j'ai un examen de mathématiques sur les fractions je ne sait pas quoi faire...
ex:trouve le PPCM
-
Vérifiée par Alloprof
Secondaire 4 • 2mBonjour, j’aimerais de l’aide en mathématiques de secondaire 4. Je ne comprends pas comment résoudre des exercices sur le sujet de la pente et la position relative de deux droites.
Par exemple, une des questions qu’on me pose est :« Trouve une paire de droites parallèles »(et là, ils me donnent des exemples comme d1, d2, d3, d4).
Mon cahier, c’estSommetsecondaire 4. Merci !
-
Vérifiée par Alloprof
Secondaire 2 • 2mcomment faire
il faut trouver la mesure de la grande base dun trapeze dont laire est de 80 cm2 la petite base 3 cm et la hauteur 20 cm
-
Vérifiée par Alloprof
Secondaire 1 • 2mBonjour,
Je n'ai pas vraiment compris la matière,puisqu'elle n'a pas été expliqué en classe. Comment résout-on ce problème?
Merci,
ElfeSarcelle4957
-
Vérifiée par Alloprof
Secondaire 3 • 2mComment résoudre cette exercice en utilisant la relation de Pythagore
-
Vérifiée par Alloprof
Secondaire 3 • 2mSimplifier grâce aux lois des exposants
-
Vérifiée par Alloprof
Primaire 6 • 2mc,est quoi un décagone
-
Vérifiée par Alloprof
Secondaire 2 • 2mje ne comprend pas ce probleme. j'aurais besoin d'aide svp.
-
Vérifiée par Alloprof
Secondaire 2 • 2mBonjour,
Comment prouver que: (- ) x (- ) = +
-
Vérifiée par Alloprof
Secondaire 3 • 2mbonjour, j'aimerais savoir comment qu'on fait pour déterminer un exposant donc ce que je veut dire est comment je fait pour trouver l'exposant dans ma resolution? exemple 4 exposant quelque chose égal 256 (4 exposant ? = 256 )? ou inverse mais ici avec la base donc quelque chose exposant 3 égale 216(? exposant 3= 216) et est ce que pour faire c'est calcul il y a une maniere a la main ou c'est a la calculatrice ? merci !






