Liste de discussions
-
Vérifiée par Alloprof
Secondaire 2 • 1aj'aurais besoin d'aide ne mathématique, donc si quelqu'un veut bien m'aider sa serais très aimable merci !
-
Vérifiée par Alloprof
Secondaire 3 • 1abonjour je ne suis pas surs de se que je doit faire est ce que quelle qu'un peut m'aider?
Soit un rectangle dont l’aire vaut 16 cm2, sa base vaut (x + 3) cm et sa hauteur vaut (x - 3). Détermine la mesure du périmètre du rectangle (en valeur numérique
merci en avance
-
Vérifiée par Alloprof
Secondaire 3 • 1aJe n'arrive pas à résoudre cet exercice un peu d'aide? SVP
-
Vérifiée par Alloprof
Primaire 6 • 1aPourquoi Raton des conversionsne marche pas
-
Vérifiée par Alloprof
Primaire 5 • 1apeut tu me donner une priorité des numérations sil te plait
-
Vérifiée par Alloprof
Primaire 6 • 1aBonjour alloprof
Je veux savoir si vous avez des exercice sur unités de mesure.
Merci
-
Vérifiée par Alloprof
Secondaire 1 • 1aje n'arrive pas a résoudre des priorité des opération sur des fraction
-
Vérifiée par Alloprof
Secondaire 3 • 1adétermine la hauteur du trapèze suivant
détermine la hauteur du trapèze
-
Vérifiée par Alloprof
Primaire 6 • 1aQuelles sont les tables de mathématique à savoir en 6ème année et où est-ce que je peux les trouver?
Merci
-
Vérifiée par Alloprof
Secondaire 1 • 1aJe ne comprend pas cet exercise, pouvez vous m’aider
-
Vérifiée par Alloprof
Primaire 6 • 1aBonjour, je fais appelle à vos services rarement Mais là, j'ai vraiment besoin d'aide, j'ai un examen à reprendre sur les Fractions (dénominateur commun, fraction à pourcentage) et l'addition (Addition à virgule), est-ce que vous pouvez me fournir une fiche ou un travaille. J'ai réellement besoin d'aide.
Merci beaucoup
GalaxieArtistique4340
-
Vérifiée par Alloprof
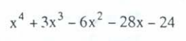
Secondaire 5 • 1aJe n'arrive pas à trouver une méthode/factoriser l'exemple ci-dessous :
-
Vérifiée par Alloprof
Secondaire 3 • 1ac quoi la différence entre
échantillonnage aléatoire simple,
échantillonnage systématique et échantillonnage en grappe
-
Vérifiée par Alloprof
Primaire 5 • 1aBonjour,je voulais une confirmation de votre part.Si j'écris 23,753 en fraction 23+7/10+5/100+3/1000 ou 23 753/1000 ou 23 entière 753/1000 la dernière e mal écrit parce que je pas mis + après 23????
-
Vérifiée par Alloprof
Secondaire 1 • 1aComment retenir des équations pour un examen?
Avez-vous des trucs?
-
Vérifiée par Alloprof
Secondaire 4 • 1aBonjour pouvez-vous m’aider je ne sais pas quoi faire en premier merci et bonne journée
-
Vérifiée par Alloprof
Primaire 5 • 1aBonjour,
quelqu’un a des techniques pour apprendre les
multiplications parcoeur ??
merci
-
Vérifiée par Alloprof
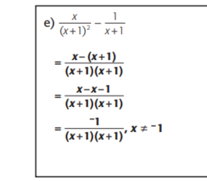
Secondaire 3 • 1aJe ne comprends pas trop ce numéro. J’ai essayer quelque mais je ne suis pas trop sûr. Pouvez-vous m’aider à compléter le numéro. Merci ;)
-
Vérifiée par Alloprof
Secondaire 3 • 1aPouvez-vous m'expliquer encore la base c'est le BDC donc c'est quoi la mesure entre ces deux parce que je ne peux pas le faire puisque il y a une mesure qui manque. Expliquer moi car votre explication ne répond pas à ma question merci
-
Vérifiée par Alloprof
Secondaire 3 • 1aBonjour c'est quoi la mesure du BC c'est impossible que je trouve le volume sans cette mesure où d'autres mesureAB et AC ?
-
Vérifiée par Alloprof
Secondaire 3 • 1aBonjour c'est quoi chargement du ciment. Je veux savoir pour la question : combien de chargement de ciment faut-il etc on met le chargement de ciment où ? Le 7 m³ du ciment c'est où pouvez-vous me le dire ?
-
Vérifiée par Alloprof
Secondaire 4 • 1aje veux résoudre l'équation
x² /2 -10x -57=0
j'ai multiplier par 2 est sa ma donné
x² -20x -114 = 0
mais le problème c'est que je n'arrive pas a fairetechnique du produit-somme parce que c'est des chiffre trop grand
-
Vérifiée par Alloprof
Secondaire 4 • 1aBonjour je ne sais pas par quoi commencer pour résoudre ce problème pouvez-vous m’aider svp merci et bonne soirée
-
Vérifiée par Alloprof
Secondaire 5 • 1aBonsoir, comme puis-je trouver la règle d’une fonction logarithme avec uniquement le domaine et un point ?Merci !
-
Vérifiée par Alloprof
Primaire 5 • 1aBonjour, j'aimerais svp avoir quelques astuces pour memoriser mes tables de division et multiplications j'en ai vraiment besoin, merci d'avance
-
Vérifiée par Alloprof
Secondaire 4 • 1aBonjour pouvez-vous m’aider à faire avec la démarche je ne sais pas quoi faire en premier merci
-
Vérifiée par Alloprof
Secondaire 4 • 1aJe ne comprends pas ce numéro, pourquoi on ne multiplie pas les dénominateurs avec les numérateurs pour créer des dénominateurs communs ?
-
Vérifiée par Alloprof
Primaire 5 • 1abonjour qui pourrait aider moi a faire mais lecon
-
Vérifiée par Alloprof
Primaire 5 • 1abonjour qui pourrait aider moi a faire mais lecon
-
Vérifiée par Alloprof
Secondaire 5 • 1aPourriez vous m'aider à résoudre ce problème svp? Merci












