Liste de discussions
-
Vérifiée par Alloprof
Secondaire 3 • 2aPouvez vous m’aider avec ce numéro svp le b la question est le numéro 1
-
Vérifiée par Alloprof
Secondaire 2 • 2aje ne comprend pas l'algebre
-
Vérifiée par Alloprof
Secondaire 5 • 2aBonjour je trouve la réponse bizarre,pouvez-vous regarder et me dire si j’ai fait un erreur?
-
Vérifiée par Alloprof
Primaire 4 • 2acomment ne pas se mélanger entre le plus et le moin
-
Vérifiée par Alloprof
Primaire 6 • 2abonjour,
je me demandais comment sa fonctionne les exposants
-
Vérifiée par Alloprof
Primaire 5 • 2aj ai une question si tu a de la misere avec tes divisions quoi faire merci de me répondre le plus vite possible
-
Vérifiée par Alloprof
Secondaire 5 • 2aJe ne comprends pas comment trouver la mesure du segment a
-
Vérifiée par Alloprof
Primaire 5 • 2acomment travailler les mhats
-
Vérifiée par Alloprof
Primaire 1 • 2ala racine carre de 7
-
Vérifiée par Alloprof
Secondaire 4 • 2aAllô !
Pouvez-vous m'aider avec cet exercice s.v.p. ? :J'aimerais, si possible, que vous le vérifiez et que vous m'indiquez si je dois modifier certaines choses…
Merci beaucoup de votre aide ! 🙂
-
Vérifiée par Alloprof
Primaire 4 • 2aBonjour ,
je voulais savoir si il y a des jeux pour les mathématique ( svp les multiplications )
Merci et bonne journée
ElfeAdorable6956
-
Vérifiée par Alloprof
Secondaire 5 • 2aAllô je n’arrive pas à trouver l’angle des arcs 2 et 3 du #6b. Je pense qu’avec les mesures données je dois trouver la mesure des tangentes pour après utiliser la loi des sin ou des cosinus, je ne sait juste pas comment. Si quelqu’un arrive à juste trouver les tangentes sa serait vraiment nice(et si elle trouve aussi l’angle de l’arc sa serait encore mieux) et aussi me montrer sa démarche. Voici le problème, le corriger et des notes qui pourrait aider :) MERCI D’AVANCE
-
Vérifiée par Alloprof
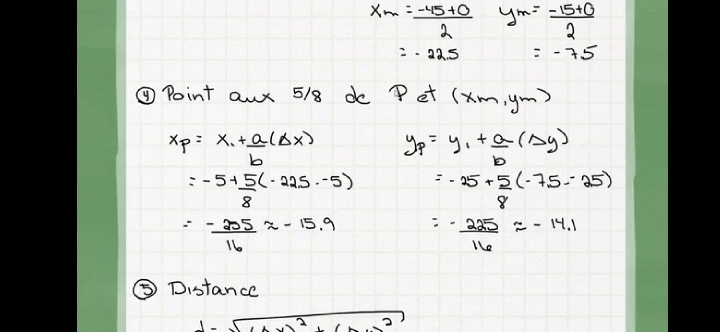
Secondaire 4 • 2aCoucou! Je ne comprends pas comment faire cela, des fractions dans une équation, j'ai regarder dans l'ndice du problème, sa dis que -5 +5/8 (-225 - -5) est egal à -225 / 16 mais comment sont arriver à -225.. merci beaucoup de maider
-
Vérifiée par Alloprof
Secondaire 3 • 2aJe ne comprend pas cet exercices quelqu'un pourrait m'aider?Merci!!
-
Vérifiée par Alloprof
Secondaire 2 • 2aJe ne comprends pas comment résoudre ceci, on peut m'aider ?
-
Vérifiée par Alloprof
Secondaire 3 • 2aNuméro 3 s’il vous plaît merci
-
Vérifiée par Alloprof
Primaire 4 • 2aSEPT FOIS SIX ÉGAL COMBIEN et est ce que vous pouver me conseiller un jeu
-
Vérifiée par Alloprof
Primaire 6 • 2aBonjour,
Comment expliquer à ma fille? Je la mets moi-même en erreur!
Exemple: 19 000 - 16 605= 2405
Alors qu'en réalité la réponse est 2495.
Merci à vous!!
-
Vérifiée par Alloprof
Secondaire 5 • 2aHi! Bonjour!
im not sure how to solve this question, could someone help please? Thank you
je sait pas comment trouver la réponse pour cette question. Est ce que quelqu’un peut m’aider s’il vous plaît? Merci!
-
Vérifiée par Alloprof
Secondaire 1 • 2aAllo,
pourriez-vous m'aider svp ( à a démarche ) de cette question suivante :merciii !
-
Vérifiée par Alloprof
Secondaire 3 • 2aYo les copains c'est quoi la formule pour trouver la grande diagonale d'un cube SVP. MErci et bonne journée....
-
Vérifiée par Alloprof
Secondaire 2 • 2aUne maison mise en vente a 110 000$ a été vendu a 93 500$. Quel est le pourcentage de réduction?
quelle est la démarche, s'il vous plait ?
-
Vérifiée par Alloprof
Postsecondaire • 2aBonjour! Je ne comprends pas bien le principe de la troncature des solides.
-
Vérifiée par Alloprof
Secondaire 1 • 2aje fais juste savoir comment faire: Les relations du second degré de la forme y=a(x-r)(x-s)
-
Vérifiée par Alloprof
Secondaire 3 • 2aJ’ai fait ma démarche mais sa ne donne pas (7,23) et je sais pas c’est quoi mon erreur .
-
Vérifiée par Alloprof
Secondaire 2 • 2aJe ne comprend toujours pas
la somme d’un nombre et du double de la différence entre ce nombre et 6 donne le même résultat que le quadruple du nombre.
-
Vérifiée par Alloprof
Secondaire 1 • 2aCOMMENT SOUSTRAIRE UN NOMBRE ENTIER RELATIFS
-
Vérifiée par Alloprof
Secondaire 3 • 2aTrouve la solution du système d'équations suivant
-
Vérifiée par Alloprof
Secondaire 3 • 2aPour chaque table de valeurs, trouve la ou les équations représentant ces tables de valeurs.
-
Vérifiée par Alloprof
Secondaire 3 • 2aLe périmètre du rectangle illustré est de 78 cm. Quel est son aire?






















