Liste de discussions
-
Vérifiée par Alloprof
Secondaire 1 • 2aEst-ce que les fractions 1/1 ou 2/2 ou 3/3 sont considérés comme des fractions irréductibles?
Merci
-
Vérifiée par Alloprof
Primaire 5 • 2asalut, je ne comprend pas les fraction pouver vous m'aider s'il vous plait!!!
-
Vérifiée par Alloprof
Primaire 5 • 2aC'est quoi un résultats théorique et comment on le fait
-
Vérifiée par Alloprof
Secondaire 4 • 2aBonjour, quelqu'un pourrais me montrer la solution à ce problème svp?Sachant que chaque 10m équivaut à 30$
-
Vérifiée par Alloprof
Primaire 4 • 2aBonjour !
Je me suis melanger avec ce probleme .
Pouvez-vous m'aider ?
-
Vérifiée par Alloprof
Primaire 6 • 2aBonjour ya til des exercises de maths sil vous plait jai besoin de réviser pour les examens du ministère merci pour celui ou celle qui me réponds
-
Vérifiée par Alloprof
Postsecondaire • 2aBonsoir,
Pouvez-vous me donner des indices pour les lettres e à h de cette discussion :https://www.alloprof.qc.ca/zonedentraide/discussion/66048/question/p1, car je n'arrive pas à les compléter.
Bonne soirée! ;)
OrAutonome2754
-
Vérifiée par Alloprof
Primaire 6 • 2acomment rendre un nombre decimal en gramme
-
Vérifiée par Alloprof
Primaire 5 • 2aComment multiplier avec 3 et 4 nombre
-
Vérifiée par Alloprof
Primaire 5 • 2apouvez vous m'aider pour ce problème cella fait 15 min que j'essai.
Et merci à toute l'équipe
-
Vérifiée par Alloprof
Secondaire 1 • 2aComment faire ?
Merci !
-
Vérifiée par Alloprof
Secondaire 1 • 2aBonjour,
il y a un problème qui m’embête un peut pourriez-vous me guider ?
Merci !
-
Vérifiée par Alloprof
Primaire 6 • 2aHello!
Je ne sais pas trop comment additionner et soustraire avec les nombres négatifs? Avez-vous des fiches?
Merci d'avance!
-
Vérifiée par Alloprof
Secondaire 2 • 2aJe ne comprend pas le problème lier a l’algèbre
-
Vérifiée par Alloprof
Secondaire 3 • 2aBonjour, j’ai reçu cette réponse à ma question:Le calcul pour le rayon est en bas à droite, en dessous de la figure.
-
Vérifiée par Alloprof
Secondaire 3 • 2aBonjour, quelle est mon erreur ici?La réponse est 12 contenant, mais je ne comprends pas pourquoi.
merci!
-
Vérifiée par Alloprof
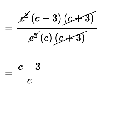
Secondaire 4 • 2aBonjour!
Je regardais les fiches Alloprof sur la division de fractions rationnelles et la simplification de fractions rationnelles, et je me demandais si c'était la même chose en fait, comme tout les deux c'est de la simplification!
Merci :D
-
Vérifiée par Alloprof
Secondaire 1 • 2aBonjour je n’arrive pas à comprendre l’air et le périmètre à cause des calculs d’aire et de périmètre merci de me répondre 🙂🦔😉🙃😎
-
Vérifiée par Alloprof
Secondaire 4 • 2aBonjour
J'ai besoin d'une explication détaillée de cette question
-
Vérifiée par Alloprof
Secondaire 2 • 2acomment je fais pour remplir une table de valeur qui n'est pas compléter (type de situation)
-
Vérifiée par Alloprof
Secondaire 2 • 2aBonjour,
J'ai un problème de probabilité que je n'arrive pas à résoudre.
"Dans un jeu de carte sans joker, on pige une carte et on en pige une autre sans remettre la premiere. Quelle est la probabilité que je pige au moins une figure en pourcentage?"
Merci !
-
Vérifiée par Alloprof
Primaire 5 • 2ales nombre décimal comment on fait pour le faire devenir un pourcentage
-
Vérifiée par Alloprof
Primaire 6 • 2abonjour j'aurais une autre question pour savoir quel seront les chose a étudier pour l'examens du ministère de math.merci
-
Vérifiée par Alloprof
Secondaire 1 • 2aBonjour, Je ne sais pas comment calculer des taxes de 15%. Sur Alloprof, il faut faire séparément 5%+10% mais je n'aime pas le faire de cette façon.
Merci beaucoup
-
Vérifiée par Alloprof
Secondaire 2 • 2aBonjour Alloprof,
Est-ce que je pourrais avoir de l'aide avec ma feuille aide mémoire en math s'il vous plaît?
Merci!
CigogneEmpathique
-
Vérifiée par Alloprof
Secondaire 5 • 2aBonjour,
je ne comprends pas comment trouver la valeur numérique exacte.La réponse est 3 et je ne comprend pas le raisonnement qui à mené à cette réponse.
-
Vérifiée par Alloprof
Secondaire 2 • 2abonjour je ne me rapelle plus quoi faire pour pb x hs
-
Vérifiée par Alloprof
Secondaire 4 • 2aPour trouver le point H ?
-
Vérifiée par Alloprof
Secondaire 3 • 2aBonjour pourriez-vous m’aider avec ce numéro svpJ’ai trouvé la règle qui est y=5x+35 mais après je suis complètement bloqué
merci en avance
-
Vérifiée par Alloprof
Secondaire 4 • 2aComment puis-je savoir si un point ne fait pas partie du l'image de f dans une partie entière? par exemple la fonction f(x)=3[-0,25(x+4)]-9 qui a un domaine de [0,infini]















