Liste de discussions
-
Vérifiée par Alloprof
Primaire 5 • 3aBonjour, j'aimerais que vous m'aidiez dans mon devoir de math S.V.P. Je ne comprends pas ça... (Voici le nombre de sièges qu'il y a dans 4 stades de baseball très connus: 55 609 (Tokyo), 52 325 (New York), 49 539 (Toronto) et 50 445 (Denver). Combien de sièges le plus grand stade a-t-il de plus que le plus petit? Merci, de me répondre au plus vite...
-
Vérifiée par Alloprof
Secondaire 4 • 3aBonjour !!
Je suis en train de faire un numéro sur les droites parallèles et perpandiculaire. Je comprend très bien !
J'ai ce numéro qui me mêle un peu.
J'ai commencée à faire ce que qui me semblait bien :) Ai-je la bonne réponse ?
Est-ce que je dois inverser mes nombres ?
Genre, mon -4 / 12 sa deviendrait : 12 / 4 ce qui donnerait 3 ?
Comment faire pour réussir ce numéro ?
Merci !!
BrachiosaureTimide314
-
Vérifiée par Alloprof
Postsecondaire • 3aDans l'énoncé
8x8y3z2 + 6x6z3 + 24x4y5z6 - 4x4y4
2(x4 + y3 + z2) est le facteur commun le plus petit.
Oui, mais, pourquoi les parenthèses et les additions? Aucune multiplications?!
J'aurai bien vu 2x4y3z2 non?
-
Vérifiée par Alloprof
Secondaire 5 • 3aQu'elle est la fonction a optimiser dans ce problèmes?
Toyota achemine ses véhicules neufs dans les centres urbains par camion ou par train. Alors qu'un camion peut transporter 6 Yaris et 4 Matrix, un wagon de train peut transporter 8 Yaris et 12 Matrix. Toyota doit acheminer au plus 2000 Yaris et au plus 1800 Matrix. Une entente contractuelle l'oblige à utiliser au moins autant de camions que de wagons. Toyota veut maximiser le nombre d'automobiles transportées.
-
Vérifiée par Alloprof
Secondaire 2 • 3aJ’ai besoin d’aide pour un numéro dans ma page de devoir il est écrit que 150000 à 184000 il faut trouver le pourcentage
-
Vérifiée par Alloprof
Secondaire 1 • 3aest-ce que je peux additionner tous les nombres négatifs et additionner tous les nombres positifs et puis soustraire ceux-ci.
Aidez moi s’il vous plaît.
-
Vérifiée par Alloprof
Primaire 1 • 3ac'est quoi 1 \ 0.75 - 1mon prof ma montrer sa. Je comprend rien, je suis primaire 1. Quesse que la ligne entre les nombres veulent dire. je suis tres confu
-
Vérifiée par Alloprof
Secondaire 3 • 3aComment calculer ex f(6) dans les fonctions et réciproque ??
-
Vérifiée par Alloprof
Primaire 1 • 3aJ'essaie de comprendre la matière que mon prof me présente mais j'ai l'impression que mes oreilles son bouché. Mais en même temps je viens juste de débuté les + et les - cette année. Quelqu'un a des suggestions pour m'aider a étudier?
-
Vérifiée par Alloprof
Primaire 4 • 3aBonjour
Je voudrais vraiment apprendre mes additions par cœur je joue à beaucoup de jeu de mathématiques mais j’y arrive pas 😔
-
Vérifiée par Alloprof
Primaire 6 • 3aBonjour j'ai un nombre qui est 167 704 il faut que je le décompose sous forme de billet de banque et de monnaie comment je dois faire si j'ai des billets de 50$,10$,5$ 2$et 1$ ?? merci
-
Vérifiée par Alloprof
Secondaire 4 • 3aBonjour!
Je suis en math TS et j’ai besoin d’aide avec mon devoir de mathématiques. Je comprends ce qu’il faut faire ,mais je ne sais pas comment l’appliquer. Pouvez-vous m’aider??
-
Vérifiée par Alloprof
Primaire 5 • 3abonjour allo prof
est-ce que il a une facon de apprendre plus vite les multiplication ?
merci
-
Vérifiée par Alloprof
Secondaire 5 • 3aBonsoir pouviez vous m’aider à résoudre c’est inéquations c’est pour un devoirs pour demain première période merci vous me sauveriez la vie 😉
a) 2|3x-7|-8<26
b) 1,4| x+8| +5≥-9
-
Vérifiée par Alloprof
Secondaire 3 • 3acomment je détermine le périmètre d’un triangle avec un angle et le cathéte ?
mathématique
-
Vérifiée par Alloprof
Secondaire 1 • 3aBonjour! Je fais présentement un devoir de maths et je dois faire l'addition et la soustraction des nombres entiers et je ne me souviens plus comment faire...Merci!
-
Vérifiée par Alloprof
Postsecondaire • 3aBonjour,
je ne comprends pas comment on est passé de (x-1) à la formule en jaune plus bas. On dirait la formule de A³-B³= (A-B)(A²+AB+B²) , mais je ne comprend toujours pas comment elle est devenue comme ça. Bonne soirée
-
Vérifiée par Alloprof
Secondaire 5 • 3aBonjour, j'avais quelques difficultés à bien simplifier l'équation suivante. (J'espère que mon écriture est assez lisible)
-
Vérifiée par Alloprof
Secondaire 5 • 3aBonjour, je dois rationaliser le dénominateur dans une expression en math. Je suis rendu au moment de faire la double distribution avec les dénominateurs. Mais je comprend pas comment on peux faire la double distribution avec des racines carrés et avec des nombres…Par exemple: 2 x racine de 13.
-
Vérifiée par Alloprof
Secondaire 2 • 3aBonjour!
On m'a donné un devoir de Mathpour demainet je ne savais pas vraiment ce qu'il fallait faire en premier. Je l'ai quand-même fait, mais je ne suis pas sûre de ma réponse.
(Elle était: Non, car la somme dépaserait de 102,63$ du budget.)
J'apprécierais si vous m'expliquez un peu, s'il vous plaît.Merci!
-
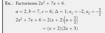
Vérifiée par Alloprof
Secondaire 4 • 3aje ne comprends pas comment on est passé de 2(x+2)(x+3/2) a = (x+2)(2x+3)
-
Vérifiée par Alloprof
Secondaire 1 • 3a3exposant3 + 2 – 2 x 5 + (9 + 16)
-
Vérifiée par Alloprof
Primaire 6 • 3avous pouvez m'expliquez le triangle équiangles le triangles isoangles le triangle obtusangles et le triangle acutangle
-
Vérifiée par Alloprof
Secondaire 4 • 3aBonjour j'ai du mal avec cet exercice
-
Vérifiée par Alloprof
Secondaire 3 • 3aBonjour! J'ai la difficulté à résoudre cette équation:
-
Vérifiée par Alloprof
Postsecondaire • 3aJe dois simplifiermerci d’avance
-
Vérifiée par Alloprof
Primaire 6 • 3aHi I don't get this math problem
Problem: A sea lion tank has the following dimensions: 8m long by 5m wide by 195cm high. The water in the tank reaches a height of 15dm. In cubic meters, what is the volume of the water inside the tank? How many more cubic meters of water will it take to completely fill the tank?
si vous voulez que je traduise ma question en français dites le moi
-
Vérifiée par Alloprof
Secondaire 3 • 3aEst ce que quelqun peut me aider pour ces 3 problèmes.
-
Vérifiée par Alloprof
Primaire 4 • 3acomment je vais apprendre mes multiplication sans les oublier ?
-
Vérifiée par Alloprof
Secondaire 2 • 3aJe suis la différence entre le carré de 4 et le carré de -3.
Est-ce avec -3 je dois mettre un parenthèse oui ou non.















