Liste de discussions
-
Vérifiée par Alloprof
Postsecondaire • 3aBonjour,
Comment puis-je trouver le domaine d'une telle fonction?1/(1-(1/√x))S'il vous plait, merci.
-
Vérifiée par Alloprof
Secondaire 2 • 3aBonjour, je cherche a comprendre comment mettre l'expression y=-x+7 sur un graphique svp.
-
Vérifiée par Alloprof
Secondaire 1 • 3aJe ne sais pas quoi utiliser dans 35x9, l'associativité, commutativité ou distributivité ?
-
Vérifiée par Alloprof
Primaire 5 • 3aBonjour, je ne suis pas très bonne en division. Pouvez-vous m'aider?
-
Vérifiée par Alloprof
Secondaire 3 • 3aAllo! J'ai besoin d'aide pour mon devoir de math. J'ai commencé le premier mais je n'ai pas compris le reste (c'est à propos de la théorie de Pythagore et quelque chose d'autre)
-
Vérifiée par Alloprof
Secondaire 2 • 3aJe dois faire des chaînes d'opération. Je sais que deux nombres négatifs ensembles donne un positif.
Si on divise 2 nombres négatifs qu'est-ce que ça donne?
-
Vérifiée par Alloprof
Secondaire 4 • 3aComment faire les équations linéaires?
-
Vérifiée par Alloprof
Secondaire 3 • 3aQuel qu’un peut m’aider pour mon numéro de math? (Je ne sais pas quoi faire ?
-
Vérifiée par Alloprof
Secondaire 4 • 3aBonjour, j’ai réussi à trouver l’aire de la base mais je n’arrive pas à trouver le périmètre.
-
Vérifiée par Alloprof
Primaire 5 • 3aje ne comprend pas la question;Avec 20 cubes polymath,fabrique 4piles de telle sorte que la premiere contienne 4 cube de moins que la troisieme et que la quatrieme ait 2 fois plus de cubes que la seconde(Il faut egalement faire une demarche avec un dessin mes je ne comprend pas la question.Merci de repondre a ma question. :)
-
Vérifiée par Alloprof
Secondaire 1 • 3adans allo prof, je ne trouve pas d'exercice sur la commutativité et l'associativité pouvez vous m'aider a en trouver s'il vous plait
-
Vérifiée par Alloprof
Primaire 6 • 3acomment faire une division avec des virgules
-
Vérifiée par Alloprof
Secondaire 5 • 3aComment trouver l'ordonne à l'origine si je n'ai pas le k et seulement le h?
-
Vérifiée par Alloprof
Primaire 6 • 3abonjour est ce que il y as des exercice pour décomposer les nombre?
-
Vérifiée par Alloprof
Primaire 6 • 3aUn membre de allo prof m’a aider avec de numéro mes je sais pas comment le convertir en heures
-
Vérifiée par Alloprof
Secondaire 4 • 3aqui sait comment résoudre cette question
-
Vérifiée par Alloprof
Secondaire 3 • 3aVous pouvez m'aider à répondre à cette question
-
Vérifiée par Alloprof
Secondaire 5 • 3aBonjour,
je ne comprends pas de quoi il s’agit. Si quelqu’un a des ressources pour que je puisse comprendre ce numéro, ce serait grandement apprécié. Merci
-
Vérifiée par Alloprof
Secondaire 4 • 3apourquoi faut-il factoriser le « h » dans la fonction partie entière? Et dans quelle condition ?
-
Vérifiée par Alloprof
Secondaire 4 • 3aJe ne comprend pas comment faire ce problème à l’aide
-
Vérifiée par Alloprof
Secondaire 4 • 3aPouvez vous m'aider à résoudre le problème allô prof je n'arrive pas à comprendre mon problème
-
Vérifiée par Alloprof
Primaire 6 • 3aBonjour,
j ai une question :Ledeuxième termed'une suite est4064.
Sa raison est+4054.Quel est lehuitième termede cette suite ?
Merci de votre reponse .
-
Vérifiée par Alloprof
Secondaire 2 • 3abonjour je ne sais pas comment calculer l aire d un triangle
-
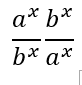
Vérifiée par Alloprof
Secondaire 3 • 3aJe me demandais si on pouvais multiplier les exposants des "a" ensemble et des "b" ensemble dans cette équationCeci est un exemple juste pour que vous compreniez ce n'est pas une vraie équation
-
Vérifiée par Alloprof
Secondaire 5 • 3aBonjour est ce que j’ai bien tracé mon graphique de la fonction Valeur absolue ?
-
Vérifiée par Alloprof
Secondaire 2 • 3aBonsoir !
J'aurais une question sur les probabilités en secondaire 2. La question dit: A et B;. A=obtenir un multiple de 3, B: obtenir 15. Alors A et B; ?
Merci bonne soirée !
-
Vérifiée par Alloprof
Secondaire 3 • 3aBonjour, j'aimerais savoir si alloprof organise aussi des rencontres teams avec les élèves pour les aider visuellement en même temps de leur expliquer avec la parole et non des messages... J'ai beaucoup de difficulté pour l'instant à comprendre mes maths de secondaire 3 et j'aimerais savoir si cela se fait. Merci d'avance
-
Vérifiée par Alloprof
Secondaire 4 • 3aBonjour j’ai de la difficulté à faire ce numéro.
-
Vérifiée par Alloprof
Primaire 6 • 3aBonjour! Est-ce que 3 sur 4 est la même chose que 2 sur 5?
-
Vérifiée par Alloprof
Primaire 4 • 3aCet année J'aurais les examens du ministère mais j'ai oublier ma somme ma dividende les facteurs etc.
Pouvez-vous m'aider ?












