Liste de discussions
-
Vérifiée par Alloprof
Postsecondaire • 2aBonjour je ne comprends pas mon erreur pour la question 13b. Merci bonne journée
-
Vérifiée par Alloprof
Secondaire 5 • 2aJ’ai de la misère avec les numéros 11 et 13
-
Vérifiée par Alloprof
Postsecondaire • 2aBonjour jai de la difficulte a trouver la vitesse finale lorsque le projectile atteint sa hauteur maximale dans le mouvement sur y=0 parabole de projectile. Si on nous donne juste langle de 20 degres lancee du sol et une distance maximale xf=8,5m. ils nous demandent:
a) déterminer la vitesse à laquelle il quitte le sol,
la reponse marirve a 14,9m/s mais je ne pense quelle est bonne car jai fait un calcul degalite de vecteur vitesse selon x et y, jai isole les vitesse pour mettre en egalite les 2 temps. pourriez maider a me donner les etapes. merci
b) la hauteur maximale atteinte.
-
Vérifiée par Alloprof
Secondaire 5 • 2aBonjour, dans l exemple 1 j'ai mesure 106° (pour ensuite trouver le champ de vision etc...)ce qui est bon mon prof la confirme, mais lorsque j'ai commencé à faire l exemple 2 j'ai oublié comment j'ai mesurer/ comment je suis arrivé à mesurer 106°. Pouvez vous m aidez svp merci
-
Vérifiée par Alloprof
Secondaire 5 • 2aBonjour,
Je me demandais comment est ce que nous pouvions trouver l'angle qui est vers le nord- est après avoir fait l'angle de 67° dans un graphique et ensuite comment calculer l'angle de 23° (avec le vecteur précédant ou avec l'axe de référence)? merci !
-
Vérifiée par Alloprof
Secondaire 5 • 2aBonjour,
J'ai un devoir en physique a réaliser. Mais malheureusement je ne le comprends pas. Pouvez vous m'aider s'il vous plaît. Je sais que je mis prends tard car c'est pour demain...
C'est l'exercice 12
Merci beaucoup
Maëlle Lejeune
-
Vérifiée par Alloprof
Secondaire 5 • 2aBonjour,
Je me demandais seulement comment on fait dans un plan cartésien, comment nous pouvons faire pour trouver la grandeur d'un vecteur en cm dans l'exemple ci-dessous ; où il faut faire les vecteur graphiquement en angle de 90° et de 45°Merci d'avance pour votre aide !
-
Vérifiée par Alloprof
Secondaire 5 • 2aVous utilisez une règle graduée au millimètre pour mesurer la hauteur de la bordure d'un rail. Le bas de la règle est appuyé sur la table. L'endroit où on prend la mesure de la hauteur est un peu courbé, alors c'est difficile d'identifier très précisément où la mesure doit être prise. De plus, il est un peu difficile de s'assurer que la règle est parfaitement verticale (elle pourrait être un peu penchée vers l'avant ou vers l'arrière).
Lorsque vous prenez la mesure, vous mesurez 11.6 mm. En bougeant un peu la règle, vous êtes confiant que la bonne mesure se trouve quelque part entre 11.4 mm et 12 mm.
Indiquez la valeur que vous allez prendre en note dans votre journal de bord, ainsi que l'incertitude que vous allez lui attribuer. Donnez vos réponses en mm.
Je ne sais pas trop comment faire, pouvez vous m’aidez s’il vous plaît
-
Vérifiée par Alloprof
Secondaire 5 • 2aJe fais une expérience qui a pour but de trouver l'accélération moyenne d'un glisseur. J'utilise le logiciel Capstone pour afficher le graphique de vitesse vs. temps et puisque ce graphique est linéaire, je déduis que l'accélération doit être constante. J'utilise Capstone pour faire une régression linéaire sur la section linéaire de mon graphique et le coefficient a
me donne directement l'accélération de mon chariot, j'ai donc atteint mon but.
Je remarque sur le logiciel qu'une incertitude accompagne déjà le paramètre a
. Au lieu de seulement utiliser cette incertitude, je décide de répéter mon expérience 5 fois dans exactement les mêmes conditions.
Pourquoi est-ce que je fais ça ?
Veuillez choisir une réponse.
a.
Je veux m'assurer que mon accélération sera fiable.
b.
Je veux m'assurer que mon accélération sera précise.
c.
Je veux m'assurer que mon accélération sera concordante.
d.
Je veux m'assurer que mon accélération sera reproductible.
Tout les reponses me semble similaire je ne sais pas laquelle choisir
-
Vérifiée par Alloprof
Postsecondaire • 2abonjour, voici la question:
Un quart-arrière fait une passe à un autre joueur. Alors que le ballon quitte les mains du quart-
arrière, le joueur se trouve à 25 m devant lui. Le joueur a couru avec une vitesse constante de
5 m/s pour attraper le ballon à une distance de 40 m du quart-arrière, qui est resté immobile
après le lancer. Le ballon a été lancé à 2 m du sol, et il a fallu plonger pour l’attraper à une
hauteur de 10 cm du sol.
Quelle est la vitesse du ballon au moment où il est attrapé ?
j’ai trouvé que le delta t est de 3 sec et j’ai aussi trouvé que la vitesse finale en x = 13.33 m/s (Vx0 = Vx) et que la vitesse finale en y = -29.43m/s( Vy0= 0m/s) ( bien sur je ne suis pas sur de mes calculs) mais après cela, pour trouver la vitesse finale je pense qu’il faut utiliser cette formule la : vecteur Vf = Vx x vecteur i + Vy x vecteur j ( avec les points (40, 0.1)) Par contre j’obtiens une vitesse beaucoup trop élevée ( environ 530m/s) donc je ne comprends pas vraiment quoi faire.
-
Vérifiée par Alloprof
Secondaire 5 • 2aBonjour, j’aimerais m’assurer que mes graphiques on bien été faite. Merci!
-
Vérifiée par Alloprof
Secondaire 5 • 2aBonjour, j’ai ps si comment faire cet exercise avec la formule de mrua (p47)
-
Vérifiée par Alloprof
Secondaire 5 • 2aAllo!! Je voulais savoir pourquoi y a t'il un avantage a utiliser les deux points de vue les plus éloignés possible quand on trace une image virtuelle?
-
Vérifiée par Alloprof
Postsecondaire • 2aUn quart-arrière fait une passe à un autre joueur. Alors que le ballon quitte les mains du quart-arrière, le joueur se trouve à 25 m de lui. Le joueur cours avec la vitesse constante de 5 m/s pour l’attraper à une distance de 40 m du quart-arrière. Le ballon a été lancé à 2 m du sol, et il a fallu plonger pour l’attraper à une hauteur de 10 cm du sol. Quel est la vitesse du ballon au moment où il est attrapé?
-
Vérifiée par Alloprof
Secondaire 5 • 2aBonjour, je ne comprends pas ce qu'il faut faire dans ces 2 exercices de physiques :
-
Vérifiée par Alloprof
Postsecondaire • 2aUne balle roule et tombe d'une table de 1m de haut et touche le sol à 1,6m de la table. Trouver (a) le module de sa vitesse initiale et (b) la durée de son trajet dans l'air.
Réponse :
(a) : 0,452s
(b) : 3,54m/s
Bonjour, je ne comprend pas ce numéro ,car il y a trop d'inconnus.
-
Vérifiée par Alloprof
Secondaire 5 • 2aje n’arrives ps à faire cet exercise même avec la formule de l’accélération
-
Vérifiée par Alloprof
Secondaire 5 • 2aToujours à ton boulot d'été, ton superviseur veut mettre à l'épreuve tes capacités en physique. Un nouveau treuil (un câble entraîné par un moteur) doit servir à hisser des charges sur une rampe inclinée. Ton superviseur s'inquiète que les colis arrivent trop vite en haut de la rampe.
Contraintes
- La rampe inclinée est composée de petits cylindres libres de tourner : il n'y a aucun frottement entre la rampe et la charge.
- L'angle θ
- de la rampe par rapport à l'horizontale est connu.
- Le câble du treuil exerce une force connue.
- Le câble est orienté à un angle α
- par rapport à l'horizontale.
- La charge, initialement immobile, a une masse connue.
- La longueur de la rampe est connue.
Schématisation
Dessine un schéma de l'objet qui nous intéresse. Trace tes axes des x
et des y
. Dessine et nomme chaque force subie par l'objet qui nous intéresse.
Modélisation
Construis un modèle pour calculer la vitesse finale de la charge à son arrivée en haut de la rampe, en fonction des paramètres connus. Teste ensuite ton modèle avec les valeurs suivantes:
L'angle de la rampe : 25
∘
La tension dans le câble : 42N
L'angle du câble par rapport à l'horizontale : 38
∘
La masse de la charge : 2.4kg
La longueur de la rampe : 3.5m
Voici m’a démarché , j’arrive pas à trouver mon erreur
-
Vérifiée par Alloprof
Secondaire 5 • 2aBonjour je ne comprend pas comment faire cette question
-
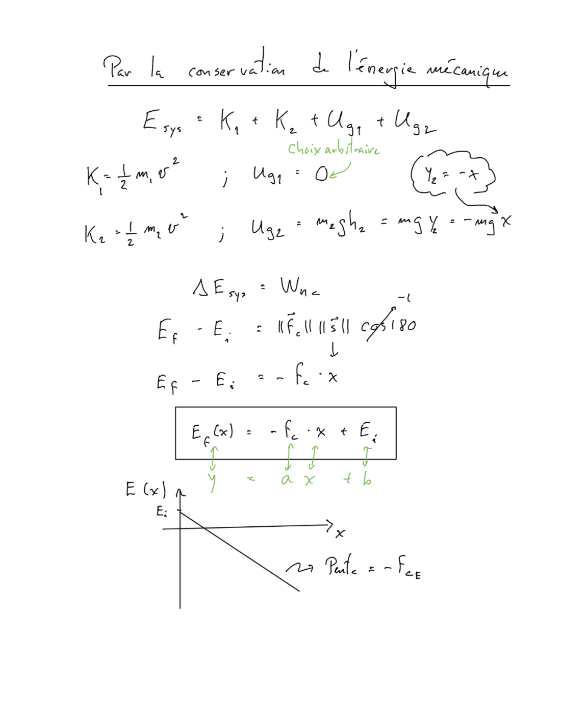
Vérifiée par Alloprof
Secondaire 5 • 2apour ce qui est des incertitude relative
(Vexp-Vthéo/Vthéo * 100% )
si cela donne un négatif qu'est-ce que l'on fait ?
-
Vérifiée par Alloprof
Secondaire 5 • 2aBonjour, je ne comprend pas ca veut dire quoi une image discernable des objets
-
Vérifiée par Alloprof
Secondaire 5 • 2aBonjour AlloProf,
J'ai une petite question pour vous concernant le numéro suivant:Pourquoi l'orientation de cette résultante est de 15° si lorsque je fait le calcul avec SOHCAHTOA le résultat me donne 15,95°, le résultat ne devrait donc pas être arrondi à 16°?
Merci Beaucoup d'avance!
-
Vérifiée par Alloprof
Postsecondaire • 2aje n’arrives pas a trouvé le système d’équation de cet exercise. je suis bloqué dedans depuis tout à l’heure
-
Vérifiée par Alloprof
Postsecondaire • 2abonjourr j’aurais une autre question en physique ( désolé je poses trop de question :(() P13, je trouve 85,7km/h dans les deux question. Comment ça se fait? sacahnt que la réponse est de a) 87,5 b) 85,7
-
Vérifiée par Alloprof
Postsecondaire • 2abonjour, j’arrive pas à faire lexercise P12. Vous pouvez m’aider à comprendre la démarche clairement
-
Vérifiée par Alloprof
Postsecondaire • 2aBonjour,
Je sais que j'ai déjà demandé de l'aide pour ce problème, cependant je n'arrive toujours pas a le résoudre. C'est surtout la partie a) qui pose problème.
Merci d'avance pour votre aide!
-
Vérifiée par Alloprof
Postsecondaire • 2abonjour ou est mon erreur? je trouve pas 29,9 km/s
-
Vérifiée par Alloprof
Postsecondaire • 2aBonjour, comment on calcule la vitesse moyenne et la vitesse scalaire de ce graphique la
-
Vérifiée par Alloprof
Postsecondaire • 2aBonjour,
Je sais que la vitesse moyenne à accélération constante est Vmoy=Vinitial+1/2(atfinal).
Peut-on trouver la vitesse moyenne d'un objet qui ne se déplace pas à accélération constante?
ex: À une accélération de 5m/s2 pendant 0,5sec, puis à une vitesse constante (2,5m/s) pendant 3 sec, puis a une accélération négative de -1,6 m/s2 pendant 1,5 sec (retour à sa position initiale).
-
Vérifiée par Alloprof
Secondaire 5 • 2aBonjour pouvez vous me dire si ce que j’ai fais est bon ou non, je dois trouver la dimension de k et l , puis si c’est pas bon pouvez vous me corriger et me dire mon erreur et me donner la réponse merci. Il y a des numéros où je n’ai pas trouvé le l car je ne sais pas comment m’y prendre svp aidez moi..J’ai besoin d’explications claires mais simple et avec un peu de détails



























