Questions populaires
Liste de discussions
-
Secondaire 4 • 9min
Bonjour,
j’arrive pas à comprendre comment résoudre aucun de tout les exercices. Comment savoir multiplier quoi par quoi svp
merci
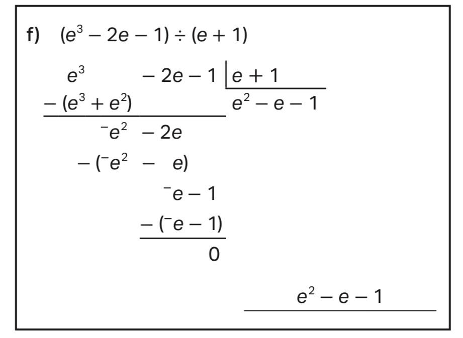
-
Secondaire 4 • 14min
Bonjour,
je n’arrive pas à comprendre pourquoi ya un espace entre le e exposant 3 et le -2e. Sa sert a quoi svp
Merci
-
Secondaire 1 • 37min
bonjour dans mon devoir il faut complaiter une suite aritmétique ou numérique de lettre mais je ne comprend pas comment faire ni la notion de suite logique avec les lettres.
(voici une capture d'écran de mon devoir pour que vous puissier mieux comprendre
-
Secondaire 5 • 58min
Je veux savoir le signe pourquoi c’est infinie
-
Secondaire 5 • 1h
Quand je vois un point vide et après je veux décrire le domaine l’intervalle de x est comme ca ? ]-2,4]Mais à l’image je ne sais pas est ce que l’intervalle est la même comme on voit? ]8,32]
-
Secondaire 5 • 1h
Bonjour,
Je me permets de vous recontacter concernant ma question sur la manière de retrouver l’expression analytique d’une fonction sinus ou cosinus à partir d’un graphique.
Ma professeure nous a donné un exercice avec un graphique contenant plusieurs fonctions trigonométriques transformées. Pour le premier graphique, j’aimerais savoir s’il serait possible de détailler la démarche pour trouver l’expression analytique des fonctions notées i (en bleu) et j (en mauve).
De mon côté, j’ai trouvé :
• Fonction i : f(x) = -2sin(x)
• Fonction j : g(x) = -2sin(x - π/4)
Comme cet exercice vient de ma professeure, je souhaite surtout vérifier si mon raisonnement est correct et comprendre les étapes pour être sûre de la méthode.
Serait-il possible de montrer la démarche complète ?
Merci beaucoup pour votre aide 🙂
-
Vérifiée par Alloprof
Primaire 5 • 1hBonjour, est-ce que je peux parler à un prof sur la zone d'entraide?👩🏫
-
Vérifiée par Alloprof
Secondaire 3 • 2hBonjour !
J’ai un texte explicatif à écrire et la définition d’un mot prise dans un dictionnaire était donnée dans le dossier de textes. Est-ce que je pourrais utiliser la définition d’un autre dictionnaire, comme Usito, dans mon texte à la place ?
-
Vérifiée par Alloprof
Secondaire 4 • 2hbonjour!
J'avais entendu parlé du bénévolat. Je suis curieuse d'en savoir plus. merci:)
-
Vérifiée par Alloprof
Primaire 6 • 2hEn utilisant desexposants, s'il y a lieu, écris lafactorisation première dunombre 468.
-
Vérifiée par Alloprof
Primaire 4 • 3hBonjour,
J’aimerais en savoir un peu plus sur votre organisation. Pourriez-vous me dire depuis combien de temps Alloprof existe et combien d’utilisateurs utilisent vos services ?
Merci beaucoup !
Jérémie R.😊
-
Vérifiée par Alloprof
Primaire 5 • 4hDevoir pour les decimal
-
Vérifiée par Alloprof
Primaire 5 • 4hexercise pour decimal
-
Vérifiée par Alloprof
Primaire 5 • 4hpeut-Tu m aider pour les fractions,purcentage et decimal
-
Vérifiée par Alloprof
Primaire 6 • 4hC'est quoi lesfacteurspremiersde92 ?
-
Vérifiée par Alloprof
Secondaire 1 • 5hBonjour est ce que vous pourriez m'expliquer c quoiles composantes d'une étude statistique et les méthodes d'échantillonnage j ai un examen le lundi 9 marsMerci d'avance !
-
Vérifiée par Alloprof
Primaire 5 • 5hALLO!
J'ai une question,est-ce que on peux parler aux personnes qui nous font des commentaires?
-
Vérifiée par Alloprof
Secondaire 5 • 6hJe voudrais savoir comment expliquer le cour de droit civique à un élève de 11eme grade
-
Vérifiée par Alloprof
Primaire 4 • 16hSalut est-ce que je pourrais être pro de la zone? Je ne sais pas si je peux a mon âge car j'ai dix ans mais je vous le promet je suis assez mature ( j'ai juste quelques faute d'Ortographe ) Donc pour ne pas donner de mauvaise explications , je répondrais que au question dont je pourrais répondre. Ou je pourrais répondre au enfant de mon age ou de problème technique car j'adore l'Informatique!
-
Vérifiée par Alloprof
Primaire 4 • 17hBonjour alloprof , Oui sa été générée par une IA Je suis vraiment vraiment vraiment désolé. Je ne savais pas que on a avais pas le droit .Mais s'Il vous plait croyez moi c'est vraiment la première fois que je copie collé sur alloprof . Car tanto j'était entrain de écrire un message que vue que j'ai 10ans actuellement est que je suis en 4e année , pour ne pas donner des mauvaise explication au personne je ne répondrais pas au question que je ne pourrais pas répondre . J'adore vraiment aider les personne je sais que je ne les aiderais pas en générant des réponse par IA , c'est pour sa que je m'excuse sincèrement , s'Il vous plait donner moi des idée pour vous prouver que a chaque de mes explication donner moi une idée pour vous prouver sincèrement que la réponse n'a pas était générer par de l'IA. Mais s'il vous plaît j'aimerais répondre au question est poser les question . Apres que vous répondrez a cette question je vous poserez une autre réponse car j'ai un peu mal au doigt a force de taper sur mon clavier :)
-
Vérifiée par Alloprof
Primaire 3 • 18hJe voudrais des trucs pour améliorer mon vocabulaire en anglais.
-
Vérifiée par Alloprof
Primaire 3 • 18hJe voudrais faire un cadeau à ma mère et mon père comme un bricolage, une carte ou un dessin, mais je n'ai pas d'idée.Pouvez-vous m'aider please.
-
Vérifiée par Alloprof
Secondaire 2 • 18hQuelqu'un pourrait-tu me dire c'est quoi la taxonomie des zooflagélés (plus spécifiquement de Leishmania) ?
-
Vérifiée par Alloprof
Secondaire 1 • 18hC'est quoi la structure d'un text justificatif?
-
Vérifiée par Alloprof
Primaire 5 • 19hle code est YC74 je me suis tromper 😅
-
Vérifiée par Alloprof
Primaire 5 • 19hqui veut me rejoindre dans fin lapin ? le code est YG26.(j'ai hate de vous voir)
-
Vérifiée par Alloprof
Secondaire 2 • 20hbonjour! la derniere fois que jai voulu faire du benevolat vous avez dit que vous favoriser les eleves de sec3,4,5. mais vous mavez dit decrire si je suis interesee! :)
-
Vérifiée par Alloprof
Secondaire 3 • 20hSALUTTTTTTTTTT stp qlq vient dans fin lapin on multijoueur! a 19h je términe le jeu venais STPPPP! code: 889U
-
Vérifiée par Alloprof
Primaire 5 • 20hBonjour ! J'ai une question en histoire : J'ai lue un livre sur les filles du roi mais dans ce livre, la fille ne se présente pas au roi contrairement aux images. Merci pour vos réponses !
-
Vérifiée par Alloprof
Secondaire 3 • 21hque veut dire le simbole de la zone d entraide?





