Best Of
Re: Question
Oh! Ce n'est pas une question facile.
Le NaOH liquide a des liaisons entre les molécules qui sont moins solides que le NaOH solide. Puisqu'il faut utiliser de l'énergie pour briser ces liens supplémentaires du solide, il y aura moins de chaleur dégagée. Ainsi le NaOH liquide a une chaleur molaire de neutralisation (-60kJ/mol) moins élevée que la chaleur molaire de neutralisation du NaOH solide (-95 kJ/mol).
Bonne soirée,
Denis
Re: Question
Salut,
Merci de nous faire confiance.
Néanmoins, c'est difficile de répondre spécifiquement à ta question puisque ton dossier scolaire ou ton établissement scolaire peut faire varier la réponse. Je te propose donc de poser cette question à la direction de ton école, selon les établissements ou les centres de service, les possibilités pourraient être différentes.
En espérant que tout se déroule comme tu le souhaites.
À bientôt,
Karen
Re: Question
Bonjour,
Il te suffit de multiplier les deux côtés de l'équation par le dénominateur :
2x/3 + 2 = 1
(2x/3 + 2) *3 = 1*3
2x + 6 = 3
2x + 6 -6 = 3 - 6
2x = -3
x = -1.5
Une autre façon sera de mettre tout le côté gauche sous le même dénominateur et de résoudre l'équation.
N'hésite pas à revenir nous voir si tu as encore des questions !
Bonne journée :)
Re: Question
Bonjour AnguilleNoble1305,
Merci pour ta question :)
Le triangle équilatéral a 3 côtés isométriques (de même mesure). Si tu veux en apprendre davantage, je t'invite à consulter la fiche suivante: https://www.alloprof.qc.ca/fr/eleves/bv/mathematiques/les-triangles-primaire-m1677
N'hésite pas si tu as d'autres questions :)
Sandrine
Re: Question
Bonsoir EndorInoubliable9047,
Je te réfère à une fiche en lien avec la fonction de second degré de base: https://www.alloprof.qc.ca/fr/eleves/bv/mathematiques/trouver-la-regle-d-une-fonction-polynomiale-de-degre-2-m1247
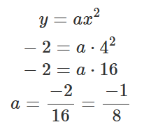
Étant donné que ton sommet passe par l'origine soit la coordonnée (0,0), ce n'est pas une coordonnée que tu peux utiliser dans ta règle y=ax^2 pour déterminer la valeur du paramètre ''a'' . Tu devras rechercher une autre coordonnée. Par exemple, si on choisit la coordonnée (4,-2), on devra résoudre:
Connaissant ;a valeur de ''a'', il te restera à l'écrire dans son équation: y = -⅛x².
En espérant que les explications t'auront aidé, bonne soirée
Re: Question
Bonsoir, KaminoResponsable8141!
Tu as raison de questionner ce problème, car c'est vrai que le diagramme n'est pas parfaitement clair. Tu dois y aller à l'oeil et par la logique. Tu as essayé pour la première bande de tracer une ligne jusqu'à l'axe de graduation, ce qui est une excellente technique qui aide visuellement. Cependant, remarque que ce diagramme est en 3D. Ainsi, une seule ligne droite ne suffit pas. Tu dois tracer une deuxième en angle.
Tu peux sinon ne regarder que le rectangle dans lequel la bande se termine.
Les nombres que tu as proposés sont en général assez bons, je modifierais peut-être les deux derniers.
Pour la danse, la ligne n'atteint pas le milieu de 30 et 40, donc 32 parait logique.
Pour l'équitation, la ligne entre l'intervalle de 10 unités est un peu plus haute, donc 53 semble correct aussi. On peut dire cela, car la graduation sur l’axe vertical respecte des bonds égaux.
J'ai l'impression que, pour le soccer, on devrait baisser de 1, si on compare avec les deux bandes précédentes.
Tu dis 45 pour la peinture, mais la ligne n'est pas au milieu de 40 et 50, elle est plus basse.
N'hésite pas à poser d'autres questions!
Re: Question
Bonsoir, EndorInoubliable9047!
La trajectoire du poisson est une parabole dont le sommet est à l'origine (0,0)
Tu peux aussi identifier certains points de la parabole à l'aide du graphique.
Va voir cette page pour t'aider à trouver la règle de la parabole:
Re: Question
L’attribution des variables n’a aucune importance dans ce contexte. Posons, x comme le prix d’un cartable et y le prix d’un paquet de feuilles. Puisque nous avons deux variables, nous devons trouver deux équations. Ces équations sont x=4y et x=2y+2. Ainsi, nous avons 4y=2y+2, ce qui nous permet de trouver la valeur de y étant égal à 1. Finalement, nous pouvons facilement trouver que x= 4 en remplaçant la valeur de y dans l’un ou l’autre de nos équations du départ.
Re: Question
Bonsoir, CitrouilleLucide330!
Il faut traduire l'énoncé en termes algébriques.
Commence par poser
x = le prix d'un cartable
y = le prix d'un paquet de feuilles quadrillées
"sa me dit qu'un cartable coûte quatre fois plus cher qu'un paquet de feuilles quadrillées."
=> x = 4y (1)
"son prix (le prix du cartable) est de 2$ de plus élevé que le prix de 2 paquets de feuilles quadrillée"
=> x = 2 + 2y (2)
Tu as deux équations (1) et (2) pour deux inconnus x et y.
Tu peux donc trouver les valeurs de x et de y.
Re: Question
Bonsoir, ElfeCocasse9585!
Tu devrais écrire ce que tu ne comprends pas, sinon on ne peut pas savoir ce qui te pose problème.
En attendant, consulte la fiche explicative à ce sujet.


