Questions populaires
Liste de discussions
-
Secondaire 5 • 11h
Bonjour alloprof
Dans la troisième stratégie, on explique comment épargner régulièrement encerclé en jaune mais il y a quelque chose que je ne comprends pas. En effet, dans l'épargne de Malene, je vois que l'épargne de Malene 2000$ encerclé en bleu donne 2120$ comment il peut donner 2120$?????? Je ne comprends pas et je ne comprends pas comment l'épargne de Steve de 2000$ encerclé en bleu peut donner 2120$???????
-
Primaire 6 • 11h
bonjour! J’ai un examen ministériel et j’essaye de réviser mais je ne sait pas quoi réviser et quoi m’être sur mon cahier de note
-
Secondaire 3 • 12h
Je ne comprends pas mon histoire, j’ai besoin de réviser mais j’ai l’impression que rien ne marche… comment puis-je faire pour réussir mon histoire de secondaire 3??
-
Vérifiée par Alloprof
Secondaire 1 • 12hComment je peux savoir quel hémisphère est en train de donner la lumière à l'hémisphère nord ou à l'hémisphère sud?
-
Vérifiée par Alloprof
Secondaire 5 • 12hBonjour alloprof
Dans ces trois pages on explique comment épargner, mais il y a quelque chose que je ne comprends pas. Je vois disons par exemple à partir de 25 ans 50$ 76 619$, 75$ 114 928$, 100$ 153 238$, 125$ 191 547?. C'est où l'épargne. Je ne sais pas comment ca fonctionne. De quel épargne mensuel on parle?
-
Vérifiée par Alloprof
Secondaire 5 • 13hBonjour alloprof
Ça dit que les intérêts simples sont calculés uniquement sur le capital, soit sur le montant déposé. De quel capital on parle. Peut-on m'expliquer à l'aide de la photo en expliquant la situation parce que je vais finalement bié comprendre comme ça?
Ça dit que les intérêts composés sont calculés à la fois sur le capital et sur les intérêts générés par l'épargne. De quel intérêts générés par l'épargne on parle?
Par conséquent, je n'ai pas bien changé difference entre les intérêts simples et les intérêts composés?
Peut-on m'expliquer à l'aide de l'image.Désolé de remettre la même question que j'ai mis avant. Je la met parce mes deux questions sont sur la même page. Désolé vraiment
-
Vérifiée par Alloprof
Secondaire 5 • 13hLynxGamma1779
C'est quoi intérêt.
-
Vérifiée par Alloprof
Secondaire 4 • 13hJ’ai une question je comprend pas la forme du développement du texte argumentatif voici 2 exemplesOui y’a plusieurs erreurs parce que c’était un essaie.
dans le premier exemple mon amie elle a dit après avoir reformuler ta thèse et etc bah tu fais continue le reste de ton paragraphe qu’avec Des Sources exemple (après la première phrase) comme blabla peut le dire, les enfants bla-bla-bla. Ensuite, selon bla-bla-bla les enfants blabla genre tu continues ton texte comme ça que Des Sources
dans le 2e texte qui est le mien, j’ai écris le développement en genre expliquant premièrement mon argument après la première phrase et je le soutiens avec la source de mon texte que j’ai lu. Après je parle de la même chose mais cette fois avec un autre argument soutenue avec une source
ma question c’est quelle forme est la bonne? Un développement qu’avec de source ou un développement ou l’idée est développe avec Des Sources comme soutiens ?
-
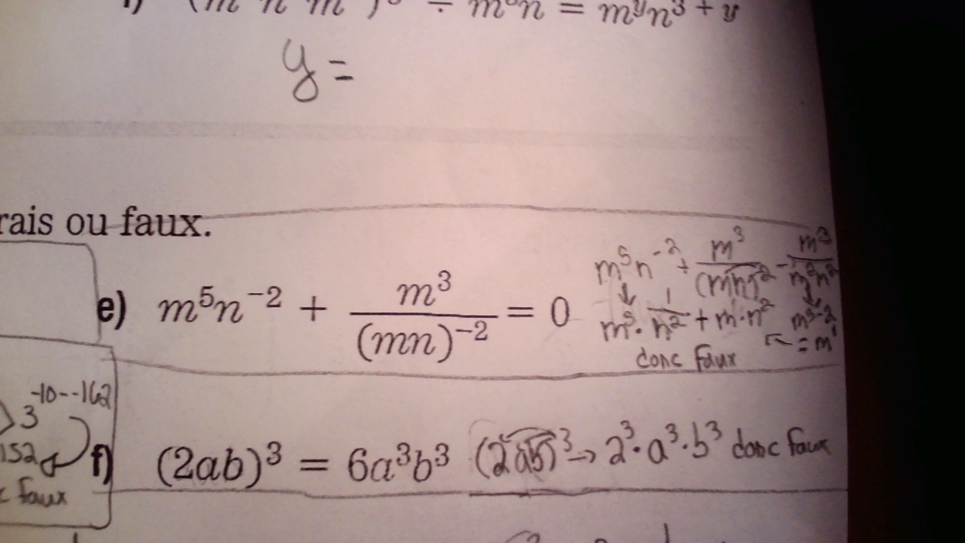
Secondaire 5 • 13h
Bonjour,
je suis Desmos Student,j’ai un projet : Le but est de recopier mon image choisi avec des fonctions coniques.
Quand j’essaie de trouver la fonction affine pour ce bout de cheveux je ne trouve pas la bonne fonction pourtant j’utilise les deux points de cette ligne
merci !
-
Vérifiée par Alloprof
Secondaire 2 • 14hbonjour je ne sais pas comment me préparer pour mon examin du ministère. quel sont vos astuce?
-
Secondaire 4 • 14h
bonjour je ne sais pas comment calculer l'étendue et la médiane dans le diagramme ci-contremerci de l'aide!
-
Secondaire 3 • 14h
j'ai trouver la circonférence du grand qui est de 135,75m et je ne sais pas comment calculer l'aire de la zone de jeu. pouvez vous m'aider svp je parle de celui pour les bulle tamponneuses. ceci n'est pas un examen.
-
Secondaire 4 • 14h
Bonjour équipe d'alloprof. Comment calculer l'étendue dans un diagramme à tiges et à feuilles? Comment reconnaitre la donnée maximale de la donnée minimale dans un diagramme à tiges et à feuilles?
je vous remercie de votre aide!!!
-
Primaire 4 • 15h
salut
j ia uen tdah et souvent jceris les letre dnas le movaie sens pour les exammant du miinstere je suis foutu
-
Vérifiée par Alloprof
Secondaire 2 • 15hBonjour.
Il se trouve que j'ai encore quelques problèmes pour rédiger mes hypothèses et mes variables (avec les manipulations des variables).
Est-ce que vous pouvez m'expliquer comment y procéder?
-
Vérifiée par Alloprof
Secondaire 4 • 16hComment devrais je faire
-
Vérifiée par Alloprof
Secondaire 4 • 16hComment devrais je faire
-
Vérifiée par Alloprof
Secondaire 4 • 16hComment devrai je faire
-
Vérifiée par Alloprof
Secondaire 1 • 17hBonsoir Alloprof ,
j'ai une question à vous poser. Pourquoi il faut ajouter le 29 février au calendrier tous les quatres ans . J'aimerais une explication bref et bien expliquée scientifiquemment et non historiquemment. Merci pour votre aide à l'avance!!
-
Vérifiée par Alloprof
Secondaire 3 • 17hcomment on fait pour calculer la membrane pour la pyramide araignée? ceci ce n'est pas un examen
-
Vérifiée par Alloprof
Secondaire 1 • 17hBonjour! J'aurais une petite question pour vous. Mon examen de Géographie est la semaine prochaine et il avait un point dans la checklist que je ne comprenais pas du tout!
Voici la question:
- Expliquer les retombées économiques du tourisme (types d’emplois, secteurs d’activités économiques) pour les habitants des Galapagos. (p.191 et 193)
Voici les pages en question: 👆
-
Vérifiée par Alloprof
Primaire 1 • 17hComment savoir quand utiliser para et por
-
Vérifiée par Alloprof
Secondaire 3 • 17hHelp! Comment différencier estar et ser?
¡Ayuda! Comment différencier estar et ser?
-
Vérifiée par Alloprof
Secondaire 1 • 17hBonjour! J'aurais une petite question pour vous. Mon examen de Géographie est la semaine prochaine et il avait un point dans la checklist que je ne comprenais pas du tout!
Voici la question:
- Indiquer les raisons qui ont conduit à la création du parc national des Îles Galapagos et des deux réserves marines (particularités des îles, etc.). (p.185, 188, 189 et 191)
Voici les pages en question: 👆
-
Vérifiée par Alloprof
Secondaire 5 • 17hAllo, je fais présentement une révision des laboratoires fait en chimie et je me demandais quelle pouvait être la deuxième cause d'erreur du laboratoire de la masse molaire d'un gaz inconnu (pas humaine). J'ai déjà la température de la pièce, mais il m'en manque une... Merci!
-
Vérifiée par Alloprof
Secondaire 5 • 17hBonjour alloprof
Premiere question
Ça dit que les intérêts simples sont calculés uniquement sur le capital, soit sur le montant déposé. De quel capital on parle. Peut-on m'expliquer à l'aide de la photo en expliquant la situation parce que je vais finalement bié comprendre comme ca?
-
Vérifiée par Alloprof
Secondaire 3 • 18hpour les jeux et les emplacement je ne comprend pas ce qu'il faut faire comme calcule je ne comprend pas ça change quoi qu'il soit placer sur la terre ou avec une membrane chouchouter et sur le gazon. ceci n'est pas un examen.j'ai trouver le rayon de la fusée qui est de 1
-
Vérifiée par Alloprof
Secondaire 4 • 18hQuelqu’un peut m’aider avec ce numéro?? Mercii d’avance
-
Vérifiée par Alloprof
Secondaire 1 • 18hBonjour ! Je n’ai pas vraiment compris comment l’angle formé par les rayons du Soleil avec le sol peut déterminer une saison. Est-ce que quelqu’un pourrait m’expliquer ce phénomène ? Merci !
-
Vérifiée par Alloprof
Secondaire 3 • 19hsur ma question précédente que je sais pas comment faire pour trouver le pris d'une nuit lors que le camp est plein et aussi je ne sais pas comment faire ls autre étape.






















