Questions populaires
Liste de discussions
-
Primaire 4 • 13h
quelle est la somme de x en mathematique
-
Secondaire 3 • 13h
Bonjour serait-il possible qu'on m'aide pour ces exerciceSolubilité (S)
Exercice : Le sucre au fond du thé
- La solubilité du sucre dans l'eau à 20°C est de 200 g / 100 ml.Données :Tu essaies de dissoudre 450 g de sucre dans 200 ml d'eau.
- Variables à identifier :
- Masse de soluté ajoutée = ?
- Volume du solvant = ?
- Capacité maximale (calculée selon la capacité donnée) = ?
- Question :La solution est-elle saturée ? Si oui, quelle masse de sucre restera-t-il au fond du contenant ?
Un concierge possède un flacon de nettoyant concentré à 12 g/L (C_). Il veut préparer un seau de 4 L (V_) avec une concentration plus douce de 3 g/L (C_).
Identifie tes variables
Question :
Quel volume de nettoyant concentré (V_) doit-il verser dans son seau ?
Quelle quantité d'eau doit-il ajouter pour atteindre le volume final ? (Indice : V{eau} = Vf - Vi)
merci beaucoup
-
Vérifiée par Alloprof
Primaire 3 • 16hLorsque je vais dans la section jeu, à droite il y a un truc qui demende notre avis et à chaque fois que je vais sur Allo Prof il y a ca. Sa me dérenge beaucoup svp vous pouvez arrêter ça.
-
Vérifiée par Alloprof
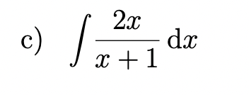
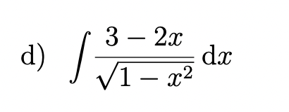
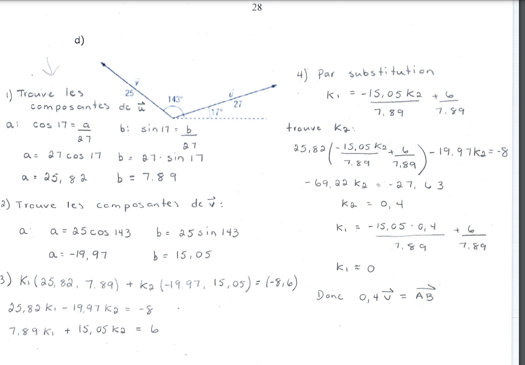
Secondaire 3 • 16hBonjour, j'espere que vous allez bien. Pourriez vous me dire si cela semble correct svp?
Merci beaucoup d'avance pour votre aide !
-
Vérifiée par Alloprof
Primaire 6 • 17hBonjour alloprof je ne trouve pas d'exercise de pemdas pour les 6emes années :[ ou puis je en trouvé. Merci!
-
Vérifiée par Alloprof
Secondaire 4 • 17hbonjour,
je voulais savoir, qu'elle est la différence dans un circuit électrique entre une ampoule et une résistance? Merci !
-
Vérifiée par Alloprof
Secondaire 3 • 18hBonjour, parmi mes 3 conceptions lequel en tant qu'enseignant choisirez-vous pour la réalisation de mon balado qui est un balado d'entrevue. J'aimerais savoir quel conception je devrais choisir et pourquoi, et quels sont vos remarques. Merci.
-
Vérifiée par Alloprof
Secondaire 1 • 18hAllo, est ce que il y aurais des techniques pour être plus motivé a faire des mathématique?
-
Vérifiée par Alloprof
Secondaire 3 • 20hBonjour je me demandais quelle est la différence entre quelle et qu'elle dans une phrase : )
-
Vérifiée par Alloprof
Secondaire 1 • 20hbesoin des images de la fermeture des mines en outaouias en 1980
-
Vérifiée par Alloprof
Primaire 4 • 21hbonjour allo prof ,Comment change ton de nom . Et aussi ma soeur LionCalme peut elle revenir svp.
-
Vérifiée par Alloprof
Primaire 4 • 21hj'ai un exposé ,je dois faire exploser mon volcan mais je ne sais pas comment
-
Vérifiée par Alloprof
Secondaire 1 • 22hBonjour!
J’aimerais savoir qu’est-ce qui distingue une colline d’une montagne.
merci beaucoup!
-
Vérifiée par Alloprof
Secondaire 3 • 22hBonjour, je suis vraiment desolée de mon incompréhension voici les photos .Merci beaucoup de votre patience
-
Vérifiée par Alloprof
Secondaire 3 • 23hRebonjour pourriez vous me donnez votre adresse couriel pour envoyer les photos de mes exercices
Merci beuacoup de votre collaboration!
-
Vérifiée par Alloprof
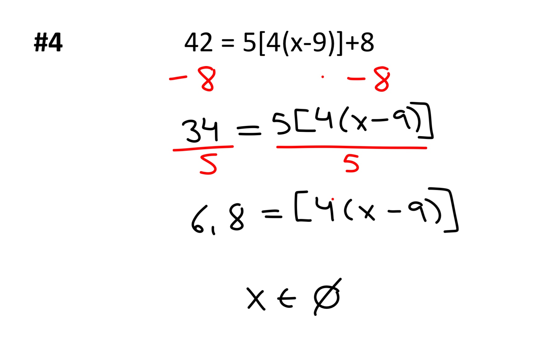
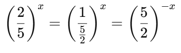
Secondaire 3 • 23hBonjour, j'espère que vous allez bien. Pourriez me dire si ce que j'ai fait dans les exercices est bon ? Merci beaucoup pour votre aide !!!!!!!
-
Vérifiée par Alloprof
Secondaire 4 • 1jAvez vous des situations de problème impliquant des système d’équation de 1e et 2e degrés et de 2 e degrés ?
-
Vérifiée par Alloprof
Primaire 5 • 1jquelle est la note minimale pour renter a st-sacrement (secondaire)
-
Vérifiée par Alloprof
Secondaire 1 • 1jQuels étaient les conditions pour devenir citoyens dans l'ancien Athènes grecques?
-
Vérifiée par Alloprof
Secondaire 1 • 1jQuand ça vient au rapport, comment est ce que je fais pour si j'ai 25:100 mais maintenant le 100 est un 250 comment je fais pour connaitre le changement du 25
-
Vérifiée par Alloprof
Primaire 5 • 1jBonjour! J’ai beaucoup de difficulté en math , surtout en fraction. J’ai compris le truc de pizzas mais l’ai additionner,multiplier,diviser ou encore l’ai soustraire, tu me perds…
Merci de m’avoir lu.
Mathilde xxxxoooo
-
Vérifiée par Alloprof
Secondaire 5 • 1jBonjour alloprof
Est ce que vous avez un fichier sur la règle et propriétés, un autre sur les différentes notations, un autre sur la recherche de la règle et un autre sur la résolution d'une inéquation du second degré à une variable?
-
Vérifiée par Alloprof
Secondaire 5 • 1jBonjour alloprof
Est ce que vous avez un fichier sur les fonctions et leurs priorités, un autre sur les paramètres d'une fonction et un autre sur la fonction en partie entière: une fonction en escalier?
-
Vérifiée par Alloprof
Secondaire 5 • 1jBonjour alloprof
Est-ce que vous avez un fichier sur la double mise en évidence et un autre sur la factorisation d'un trinôme, un autre sur la factorisation à l'aide des identités, un autre sur la factorisation par complétion du carré, un autre sur la factorisation pour manipuler les fractions algébrique et un autre sur ls résolution d'une équation du second degré à une variable?Désolé mais quand je cherche ce n'est pas clair parec que les fichiers des noms et celle du cahier ne sont pas la même chose.
-
Vérifiée par Alloprof
Secondaire 1 • 1jbonjour.Je ne
`digère`pas précisément la matière de la romanisation. -
Vérifiée par Alloprof
Primaire 5 • 1jsalut! est ce que c'est une nouvelle matière sur alloprof?:
contenus autochtones
-
Vérifiée par Alloprof
Secondaire 2 • 1jBonjour je suis entraine de reviser pour mon examen mais je ne comprend pas cette exercise est ce que vous pouvez maider .il manque 10$ a julie pour acheter 30 Litres d'essence, mais il lui restera 2$ si elle en achete 22 L. Quel est le prix d'un litre d'essence, et combien d'argent julie a-t-elle?
-
Vérifiée par Alloprof
Secondaire 3 • 1jBonjour je suis en train de faire des exercices et j'ai des questions de ce genre
- Tu disposes de 10 ml d'une solution de concentration 50 g/L. Si tu veux diminuer la concentration à 30 g/L, quel volume de solvant devras-tu ajouter à ton volume initial pour obtenir ton volume final?
ou encore comme ca
3.Tu disposes de 250 ml d'une solution de concentration 0,15 g/L. Si tu ajoutes 350 ml de solvant, quelle sera la nouvelle concentration de cette solution?
-
Vérifiée par Alloprof
Primaire 6 • 1jPour diviser des chiffres a virgule quel est la façon de faire
-
Vérifiée par Alloprof
Secondaire 5 • 1jBonjour alloprof
Est ce que vous avez un fichier sur la division de polynomes, un autre sur la manipulation de fraction algébrique ( expressions rationnelles)

































