Liste de discussions
-
Vérifiée par Alloprof
Secondaire 3 • 2mBonjour
Merci pour votre aide!
alors lorsqu’il demande déterminé à quelle hauteur se trouve la fenêtre
ils veulent la mesure du sol à la fenêtre ou
a partir du téléviseur qui est sur le meuble
pouvez me montrer sur l’image qu’est ce qu’il cherche?
merci beaucoup!
-
Vérifiée par Alloprof
Secondaire 3 • 2mComment faire pour calculer les réponses à la calculatrice pour vérifier que j'ai bien mis les chiffres car ça ne me donne pas la même réponse et pourtant, c'est censé être égal
-
Vérifiée par Alloprof
Secondaire 4 • 2mLa playliste de Mathieu comprends 3 fois plus de chansons anglo que franco. La différence entre le nombre de chansons anglo et franco est de 56. Combien de chansons anglo et franco, la playliste de Mathieu contient-elle ?
A = nombre de chansons anglo
F = nombre de chansons franco
A - F = 56 et 3A = F
A = F + 56
3(F + 56) = F
3F+168=F
2F = -168 mais je ne peux pas voir un chiffre négatif !
-
Vérifiée par Alloprof
Secondaire 5 • 2mBonjour alloprof
J'ai posé une question mais vous n'avez pas répondu à ma question. Est-ce que ce signe<_ est un égal oui ou non. Je pose cette question parce que dans cette photo, il y a un égal donc répondez à ma question est-ce que ce signe est comme un égal. Je sais qu'elle est petite. Je vous ai posé une question mais vous avez répondu autre chose et ça me déplaît donc s'il vous plaît répondez à ma question en place de parler autre chose s'il vous plaît
-
Vérifiée par Alloprof
Primaire 6 • 2mBonjours a tous je voulais juste savoir si il avais à quel que pars dans l’appli un tableau pour calculé mes math
-
Vérifiée par Alloprof
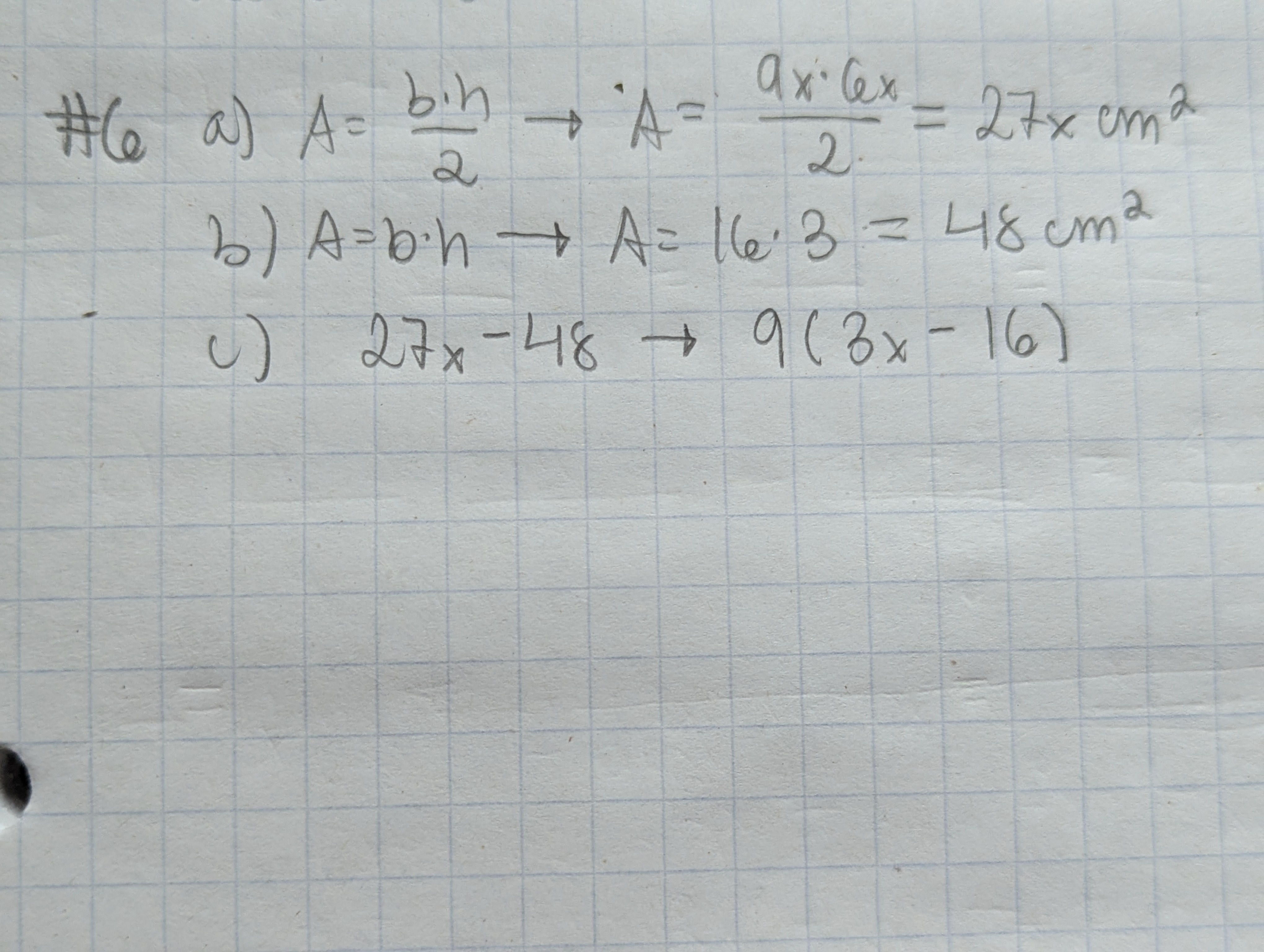
Secondaire 3 • 2mBonjour,
Pourquoi est ce que relation B n’est pas une fonction?
-
Vérifiée par Alloprof
Secondaire 3 • 2mBonjour je me rappelle pas la formule pouvez vous m'aider .je cherche la formule pour calculer un côté d'un pentagone avec l'air et l'apothème svp ?
-
Vérifiée par Alloprof
Secondaire 5 • 2mBonjour alloprof
J'ai une question. Ce signe <_ est ce qu'elle pourrait être considéré comme une égal.
-
Vérifiée par Alloprof
Secondaire 3 • 2mBonjour alloprof, je ne comprend ce numéro.
-
Vérifiée par Alloprof
Secondaire 3 • 2mBonjour
j’ai de la difficulté à situer les informations dans l’image.
quelle est la mesure qu’il veut avoir?
(déterminé à quelle hauteur se trouve la fenêtre, de ou à où?
est ce que le chat saute en diagonale
sur l’image c’est quoi sauter de 1.5m?merci beaucoup!
-
Vérifiée par Alloprof
Secondaire 4 • 2mBonjour, je voulais avoir de l' aider avec cette question. Je savoir comment je peux le traduire à notation mathématique.
-
Vérifiée par Alloprof
Primaire 6 • 2msalut je veux juste demander comment peut tu prendre les billets dans le jeu LA FOIRE???
merci d'avance
-
Vérifiée par Alloprof
Secondaire 3 • 2mJe ne comprend pas les numéros vide et le 3) j'aimerais aussi savoir si les autre sont bon pour voir si je suis bien parti merci de m'aider :)
-
Vérifiée par Alloprof
Primaire 6 • 2mje voulais dire pouvais vous me donner des exercise des transformation des fractions en poursentage.
-
Vérifiée par Alloprof
Secondaire 2 • 2mSalut, Alloprof
je suis plus avencer en matématique que la plupart des personne dans ma classe es ce que il serait possible de m'envoyer des exercice a faire en algèbre et des equoition a résoudre. merci d'avence !!
perlejaune1304
-
Vérifiée par Alloprof
Primaire 6 • 2mBonjoir,
Voici ma démarche et mon calcul : merci de valider que 1900d est bien 19 000 unités.Merci!
-
Vérifiée par Alloprof
Secondaire 3 • 2mBonjour ce n'est pas vraiment une question mais j'ai comme un doute sur ma réponse pouvez vous me confirmé quelle est bonne merci
-
Vérifiée par Alloprof
Secondaire 4 • 2mMerci alloprof de me répondre mais nous on a jamais fait avec une table de valeur je sais si vous m'avez mal compris en fait je suis en train de faire sur le chapitre les paramètres multiplicatifs et additifs alors dans mon exercices il y avait une graphique initial et il faut le transformer à l'aide : a,b,h,k j'ai une règle que j'ai envoyé un photo je sais pas si c'est elle qui va m'aider à modifier le graphique en transformer ? Pouvez vous m'en montrer en exemple svp sur comment tracer un graphique transformé grâce à le graphique initiale
-
Vérifiée par Alloprof
Secondaire 4 • 2mAllo,
Comment suis-je supposé graduer mon graphique avec -0,03 périodique?
Je ne peux pas faire des bonds de -0,03 puisque je n’ai pas assez de ligne et mon premier point doit être à 15Merci!
-
Vérifiée par Alloprof
Secondaire 4 • 2mAllo,
Comment suis-je supposé graduer mon graphique avec -0,03 périodique?
Merci!
-
Vérifiée par Alloprof
Secondaire 4 • 2mBonsoir, J'ai pas compris comment tracer mon graphique je viens de vérifier sur corrigé c'est tout à fait différent je sais pas pourquoi mais l'exercice sur paramètres multiplicatifs et additifs voici le corrigé car l'habitude h : 5 on avance translation horizontal et k: 2 on monte en translation vertical et a:1 b:1 pourquoi j'ai eu faux et différent dans le corrigé svp sauver moi même ma prof m'a mal expliqué comment tracer quand j'aurais a et b dans un graphique c'est vraiment important pour mon examen qui sera prochain semaine sauvez moi j'ai tout vu sur YouTube et toujours pas compris 💔💔💔 moi mon habitude j'adore math ma vie est math c'est pour ça j'ai choisi math sn4 grâce à mon réussite sur math cst4 ministère. Merci j'espère vous pouvez vraiment me expliqué avec une bonne technique et démarche merci ❤️
-
Vérifiée par Alloprof
Secondaire 1 • 2mBonjour, Mon prof nous a enseigné les opérations sur les nombres entiers ex: -7+(-5) . j'aurai besoin d'aide pour les comprendre mieux a fond car j'ai un examen et aussi ça me mélange tout cela.
-
Vérifiée par Alloprof
Secondaire 2 • 2mMa fille student sec 2 dans un Ecole anglais a qu
ebec il ya des excerice en englais ou just francais
-
Vérifiée par Alloprof
Secondaire 3 • 2mcoucou j'aurais besoin d'aide pour le 2 de mon cahier de math en relation et en fonctions
-
Vérifiée par Alloprof
Secondaire 4 • 2mJe ne comprends rien à la simplification d'expression algébrique et à quoi sert exactement la rescrictions?Genre je le trouve et puis quoi? On me dit que on ne doit pas l'utilisé mais en quoi exactement même j'aurais la possibilité de le faire?
-
Vérifiée par Alloprof
Secondaire 4 • 2mBonsoir, je ne trouve pas le corrigé de cette question et je me demandais seulement si j'ai les bonnes réponses, puisque mon examen s'en vient.
-
Vérifiée par Alloprof
Secondaire 1 • 2mque veut dire le bilan?
-
Vérifiée par Alloprof
Primaire 5 • 2mcomment arrondir un nombre
-
Vérifiée par Alloprof
Primaire 5 • 2mbonjour pourriez vous me faire comrendre les mutiplication on algorithme a 3 chiffre a 2 chiffre
merci et bonne journée reponder moi trés vite stp
-
Vérifiée par Alloprof
Secondaire 1 • 2mBonjour! je ne comprend pas le num 7. pouvez vous m'aider a trouver la réponse et m'expliquer comment svp? Je veux bien comprendre. Merciiiii




















