Best Of
Re: Question
je suis d'acord avec QuartzRose1804, mais je veux ajouter qqchose: le et est remplacer par une virgule parce que c'est plus vite,c'est plus cours
Re: Question
Salut GalaxieJaune1654
Merci d’avoir utilisé la zone d’entraide pour répondre à ta question!
D'abord, pour analyser toute production écrite, tu dois commencer par une première lecture qui te donnera un aperçu du contexte. Ensuite, dans une deuxième lecture, n'oublie pas de souligner ce qui est important selon le contexte. Par exemple pour des textes ou des romans, il faut noter les passages importants de l'histoire, comme le début et la fin des péripéties ainsi que les événements qui montrent l'évolution psychologique du personnage principal.
Voici certains fiches qui pourront t'aider davantage:
L'analyse littéraire (la dissertation): https://www.alloprof.qc.ca/fr/eleves/bv/francais/l-analyse-litteraire-la-dissertation-f1120
Le roman: https://www.alloprof.qc.ca/fr/eleves/bv/francais/le-roman-f1063
Le groupe verbal: https://www.alloprof.qc.ca/fr/eleves/bv/francais/le-groupe-verbal-gv-f1238
Le groupe prépositionnel: https://www.alloprof.qc.ca/fr/eleves/bv/francais/le-groupe-prepositionnel-gprep-f1239
J'espère avoir répondu à ta question et si jamais tu en as d’autres, n'hésite pas à les poser.
Je sais que tu vas y arriver!
NabooIntergalactique3188
Re: Question
Bonsoir MegalosaurePratique8225!
Merci pour ta question!
L'allemagne a eu plusieurs alliés pendant la première guerre mondiale. Parmi eux, ils ya l'Autriche-Hongrie, l'Italie et l'empire Ottoman.
Pour en connaître d'avantage vous pouvez consulter cette fiche sur la prmière guerre mondiale :
J'éspère que tu as peux en apprendre d'avantage!
GalaxieAdmirable6894!
Re: Question
Salut OrAimable4295
Merci d’avoir utilisé la zone d’entraide pour répondre à ta question!
D'abord, une rose des vents est une figure indiquant les points cardinaux : Nord, Sud, Ouest, Est.
Pour mémoriser une carte, je te conseillerais de dire les villes/provinces/villages ou n'importe quel endroit sur ta carte À VOIX HAUTE. Ainsi, tu peux essayer de répliquer la carte et de réécrire les endroits dans ce dessin. Ces deux méthodes vont te permettre d'utiliser plusieurs sens pour étudier, ce qui est scientifiquement prouvé efficace pour la mémorisation.
Tu pourras ainsi essayer de faire une phrase qui impliquerait chaque endroit et son nom. Par exemple, si j'ai Montréal, Laval, Saint-Eustache et Trois-Rivières, je pourrais construire la phrase suivante: Maria Lave Sa Tortue. Finalement, selon ta carte, il existe de nombreux petits quiz sur l'internet qui pourront t'aider à réviser. C'est des quiz ou tu dois par exemple trouver l'endroit et le placer dans la bonne case.
Je ne pourrais pas te mettre un lien d'un quiz puisque je ne connais pas les constituants de ta carte, mais tu peux essayer d'en trouver des quiz sur Kahoot ou Quizziz, si jamais tu voudrais essayer cette methode de revision.
J'espère avoir répondu à ta question et si jamais tu en a d’autres, n'hésites pas à les poser.
Je sais que tu vas y arriver! Bonne chance à ton examen!
NabooIntergalactique3188
Re: Question
Salut à toi!
Merci pour ta question :)
La divisibilité, en fait, c'est quand on veut diviser un chiffre et que ça nous donne un nombre entier (souvent positif). Les critères de divisibilité nous permettent de savoir rapidement si ça fonctionne (par exemple, je sais que 15 n'est seulement divisible que par 5 et 3 à cause des critères qui sont écrits dans ton cahier). C'est plus un truc mathématique pour t'aider à repérer facilement si une division donnera un nombre entier ou non :)
Pour ce qui est de l'arbre des facteurs, en fait, on doit trouver les plus petits facteurs (donc les plus petits chiffres qui, une fois multipliés ensemble, donneront le nombre de départ. Nous avons un vidéo qui te montre bien la démarche à suivre:
J'espère que ça répond à ta question!
Bonne journée :)
Ariane
Re: Question
La clé ici est d'intervertir le y et le x pour trouver la fonction inverse.
Tu as des lettres a, b, h, et k au lieu de nombres, mais les opérations sont les mêmes.
En bonus tu obtiens un résultat qui s'applique à plein de situations puisque a, b, h et k peuvent prendre une infinité de valeurs mis à part la restriction b≠0
Essaie par toi-même et compare avec ceci
Re: Question
Salut!
La priorité des opérations indique l'ordre à respecter pour résoudre une chaîne d'opérations, soit : Parenthèses, Exposant, Multiplications et Divisions (de la gauche vers la droite), et Additions et Soustractions (de la gauche vers la droite), ce qui forme l'acronyme PEMDAS.
Voici un exemple :
Y a-t-il un exercice en particulier qui te pose problème? Tu peux nous envoyer une photo de celui-ci avec ta démarche, nous pourrons alors t'aider à éclairer le tout :)
Sinon, le meilleur moment pour mieux comprendre est de se pratiquer! Voici des exercices qui pourront t'aider à te familiariser avec cette notion :
- La priorité des opérations (avec des nombres naturels)
- La priorité des opérations (avec des entiers relatifs)
- Fiches d'Exercices sur la Priorité des Opérations
Si tu as de la difficulté à résoudre l'un d'entre eux, réécris-nous et nous t'aiderons avec plaisir!
Bonne étude! :)
Re: Question
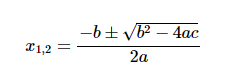
Salut!
Pour résoudre cette équation à l'aide de la formule quadratique, tu dois d'abord transformer l'équation pour qu'elle ait la forme suivante :
Pour cela, tu dois développer l'expression en effectuant l'exposant 2, comme ceci :
$$ (2x+3)^2 = 6$$
$$ (2x+3)(2x+3) = 6$$
$$ 4x^2+6x+6x+9 = 6$$
$$ 4x^2+12x+9 = 6$$
$$ 4x^2+12x+9 -6= 6-6$$
$$ 4x^2+12x+3= 0$$
Voilà! Maintenant qu'on a la bonne forme d'équation, on peut déduire que nos paramètres sont : a=4, b=12 et c=3.
Tu peux maintenant utiliser la formule quadratique avec ces paramètres :
Voici une fiche sur cette notion qui pourrait t'être utile : La formule quadratique | Secondaire | Alloprof
J'espère que c'est plus clair pour toi! :)
Re: Question
Bonjour GalaxieHumble ! :)
Jacques Cartier n'a pas été chanceux dans ses découvertes... Alors qu'il a établi des relations avec les Autochtones, il n'a pas trouvé de pierres précieuses (il a ramené des «pierres» qui n'en étaient pas!!) et son objectif premier de trouver un passage vers l'Asie n'a pas été comblé.
Pour en savoir plus sur Jacques Cartier, tu peux consulter la fiche suivante : https://www.alloprof.qc.ca/fr/eleves/bv/histoire/jacques-cartier-1491-1557-d1101
Bonne révision ! :D
-SweetGiraffe
Question
Bonjour!
Je ne comprends pas comment résoudre cette équation à l'aide de la formule quadratique? Comment trouver mon a, b et c? Et surtout, comment trouver mes deux solutions pour cette équation? S.v.p aidez-moi!
Merci d'avance.




