Best Of
Re: Question
Salut!
Tout d'abord, la règle d'une suite a la forme suivante :
Cette règle permet de trouver un terme dans une suite de nombres ayant une certaine régularité.
Par exemple, si on a cette suite de nombres :
Et que l'on veut trouver quel est le nombre au rang 100 (à la position 100), alors nous devons d'abord trouver la règle de la suite, puis nous allons remplacer \(n\) dans cette règle par 100, et effectuer le calcul, ce qui nous permettra de trouver le terme \(t\) qui est à n=100, c'est-à-dire au rang 100.
Voici un exemple :
On peut également faire l'inverse, soit trouver le rang d'un certain nombre. Par exemple, si on veut savoir à quelle position est le nombre 56, nous allons remplacer \(t\) par 56 dans la règle, puis résoudre l'équation pour trouver \(n\), le rang de ce terme.
Voici un exemple :
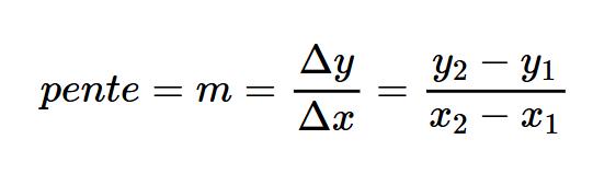
Maintenant, pour trouver la régularité, aussi appelée taux de variation, ou encore la pente, il faut calculer l'écart entre deux termes consécutifs, c'est-à-dire deux termes l'un à la suite de l'autre. Si on reprend la même table de valeurs, on constate qu'on fait des bonds de 2 entre chaque terme consécutifs :
Le taux de variation est donc de 2.
Si tu n'as pas deux termes consécutifs dans ta table de valeurs, comme ici par exemple (on fait comme si nous ne connaissions pas les colonnes barrées) :
Alors on doit utiliser cette règle :
où les y sont les termes et les x sont les rangs.
En appliquant cette formule, on peut obtenir notre taux de variation de 2 :
$$régularité=\frac{9-5}{3-1}=\frac{4}{2}=2$$
En fait, cette formule est toujours applicable pour trouver le taux de variation, même lorsque les nombres sont consécutifs.
$$régularité=\frac{7-5}{2-1}=\frac{2}{1}=2$$
Donc, tu peux toujours utiliser cette formule pour trouver le taux de variation d'une suite, et ce, en utilisant 2 couples de cette suite, peu importe lesquels.
Ainsi, si je reviens maintenant à ta question, t=9 +7n est simplement la règle d'une suite. On peut réécrire la règle comme ceci : t=7n+9, c'est la même chose, puisque ne l'oublions pas, l'addition est commutative (2+3 c'est la même chose que 3+2)!
Donc, tu as la règle t=7n+9 (ou t=9 +7n). Quelle est la question du problème ? On te demande peut-être de trouver le terme à un certain rang de cette suite, ou l'inverse, le rang d'un certain terme de la suite. N'hésite pas à nous envoyer la question demandée par l'exercice ou l'énoncé du problème si tu as de la difficulté à le compléter! :)
Voici une fiche sur cette notion qui pourrait t'être utile : La règle d'une suite | Secondaire | Alloprof
Est-ce que c'est plus clair pour toi? Si ce n'est pas le cas, n'hésite pas à nous réécrire en nous précisant ce que tu ne comprends pas, ça nous fera plaisir de t'aider! :)
Re: Question
Salut JupiterFantastique5647 !
Merci d'avoir posé ta question. :)
Nous avons justement une fiche à ce sujet.
La voici :
Tu y trouveras de judicieux conseils pour te préparer.
Voici également notre répertoire de révision de ta 5e année du primaire, pour t'aider dans ta préparation :
Bon succès à ton examen!
N'hésite pas si tu as d'autres questions. :)
Angélique
Re: Question
Salut!
Pour la multiplication ou la division de nombres positifs et négatifs, tu dois simplement suivre la règle des signes :
En d'autres mots, si l'un des nombres est négatif, alors la réponse sera négative, et si les deux nombres sont négatifs, la réponse sera positive, car les deux signes s'annulent.
Je te recommande de consulter cette fiche pour plus de détails : La multiplication et la division de nombres positifs et négatifs | Secondaire | Alloprof
Pour additionner des nombres négatifs, tu as ces trois cas possibles :
Pour la soustraction, tu dois transformer le signe de soustraction en addition, puis inverser le signe du deuxième terme. Par exemple, si tu as -3 - 4, cela équivaut à -3 + -4. Autre exemple, 5 - -7 équivaut à 5 + 7.
En ce qui concerne les exposants négatifs, tu dois simplement inverser le nombre, c'est-à-dire inverser le numérateur et le dénominateur :
Voici des exemples :
Cela dit, le meilleur moyen pour bien retenir une notion est de se pratiquer! :)
Voici un exercice sur ces notions : Les opérations sur les entiers relatifs | Alloprof
Si tu sélectionnes le niveau de difficulté Expert, tu pourras retrouver des nombres négatifs ;)
Voici également des exercices que j'ai trouvés sur Internet :
- Addition et soustraction de nombres entiers avec parenthèses autour des entiers négatifs seulement (-10 à 10) (45 par page) (A) (il y a 10 fiches d'exercices avec leur corrigé, de A à J)
- Multiplication de nombres entiers -- Négatif multiplié par positif (45 par page) (A)
- Division de nombres entiers -- Négatif divisé par négatif (75 par page) (A)
Tu peux aussi refaire de ton côté les exemples présentés sur ces fiches :
- L’addition et la soustraction de nombres positifs et négatifs | Secondaire | Alloprof
- La multiplication et la division de nombres positifs et négatifs | Secondaire | Alloprof
- Les lois des exposants | Secondaire | Alloprof
J'espère que c'est plus clair pour toi! Bonne pratique! :)
Re: Question
Salut!
Pour trouver la coordonnée du point demandé, tu dois commencer par déterminer le pas de graduation de la droite.
Le pas de graduation dans une droite numérique est la valeur du bond entre chaque petite ligne (ces lignes sont appelées des graduations). En d'autres mots, le pas de graduation, c'est la différence entre deux nombres consécutifs, c'est le bond que l'on fait entre chaque graduation, ou encore c'est le nombre que l'on additionne pour avoir la graduation suivante.
Si tu as une droite avec deux points connus, mais qu'ils ne sont pas consécutifs, pour connaitre le pas de graduation, tu dois déterminer le nombre de graduations entre ces deux points. Par exemple, ici, pour passer de 200 à 700, on fait 5 bonds.
Donc, après 5 bonds, on a augmenté de 500 unités (700-200). Pour calculer le pas, il ne reste plus qu'à diviser 500 par 5. Le pas est donc de 100 unités.
Tu peux suivre le même principe pour ton exercice. Entre -502 et -442, on a 2 graduations, et un écart de 60 unités.
Donc, le pas de graduation est de 60/2 = 30 unités.
Sachant cela, tu pourras trouver l'adresse du point marqué par la flèche! :)
Voici une fiche et une vidéo sur cette notion qui pourraient t'être utiles :
- La droite numérique | Primaire | Primaire | Alloprof
- https://www.youtube.com/watch?v=6gUAh95-30Q&ab_channel=AnnieAugerHD
J'espère que cela t'aide! Si tu as d'autres questions, on est là! :)
Re: Question
Salut!
Pour la multiplication ou la division de nombres positifs et négatifs, tu dois simplement suivre la règle des signes :
En d'autres mots, si l'un des nombres est négatif, alors la réponse sera négative, et si les deux nombres sont négatifs, la réponse sera positive, car les deux signes s'annulent.
Je te recommande de consulter cette fiche pour plus de détails : La multiplication et la division de nombres positifs et négatifs | Secondaire | Alloprof
Pour additionner des nombres négatifs, tu as ces trois cas possibles :
Pour la soustraction, tu dois transformer le signe de soustraction en addition, puis inverser le signe du deuxième terme. Par exemple, si tu as -3 - 4, cela équivaut à -3 + -4. Autre exemple, 5 - -7 équivaut à 5 + 7.
En ce qui concerne les exposants négatifs, tu dois simplement inverser le nombre, c'est-à-dire inverser le numérateur et le dénominateur :
Voici des exemples :
Cela dit, le meilleur moyen pour bien retenir une notion est de se pratiquer! :)
Voici un exercice sur ces notions : Les opérations sur les entiers relatifs | Alloprof
Si tu sélectionnes le niveau de difficulté Expert, tu pourras retrouver des nombres négatifs ;)
Voici également des exercices que j'ai trouvés sur Internet :
- Addition et soustraction de nombres entiers avec parenthèses autour des entiers négatifs seulement (-10 à 10) (45 par page) (A) (il y a 10 fiches d'exercices avec leur corrigé, de A à J)
- Multiplication de nombres entiers -- Négatif multiplié par positif (45 par page) (A)
- Division de nombres entiers -- Négatif divisé par négatif (75 par page) (A)
Tu peux aussi refaire de ton côté les exemples présentés sur ces fiches :
- L’addition et la soustraction de nombres positifs et négatifs | Secondaire | Alloprof
- La multiplication et la division de nombres positifs et négatifs | Secondaire | Alloprof
- Les lois des exposants | Secondaire | Alloprof
J'espère que c'est plus clair pour toi! Bonne pratique! :)
Re: Question
Donc, voici pour mieux comprendre les opérations avec des nombres négatifs.
-8 - 6 : Comprends-le comme si tu donnais 8 pommes à Jeanne et que tu en donnes encore 6 le lendemain. Donc, c'est plus - (8+6)
8 - (- 6 ): Chaque fois que tu vois un double signe, convertis en un seul, dans ce cas, c'est plus. 8 + 6
-6 + 8 : Inverse, tu peux te le permettre! 8 + -6 qui donne 8 - 6.
-6 + -8. Donc, là, c'est le plus complexe, mon conseil? Tasse tes moins de d'là! - (6 + 8) = -14
Pour les exposants, c'est vraiment plus difficile, donc écoutes bien.
-5² : Je vais utiliser un analogie pour ce cas. Fais comme si l'exposant était un appareil photo. Le 5 est une personne prise en photo seulement de profil, donc une fois la photo prise, l'effet sera sur le 5. Une fois l'exposant disparu, le moins qui était caché derrière la personne peut revenir.
Ex. -5² Click -25
(-5)² : Ici, les parenthèses agissent comme changement de prise. Au lieu d'être pris en profil, c'est un portrait, donc le - sera pris en photo au côté du 5. La photo est prise ; l'effet est fait sur les deux. (-5 x -5) = 25! Comprends-tu un peu plus? :p
Re: Question
Salut Audrey!
Merci de faire appel à nos services! 🙂
Sur Alloprof, nous avons les jeux suivants: Jeux et applications | Alloprof
De plus, voici quelques conseils que tu peux suivre pour t'améliorer en anglais :
- Regarde des vidéos, des films, des émissions en anglais (avec les sous-titres en français). Avec le temps, tu pourras mettre les sous-titres en anglais et ensuite complètement enlever les sous-titres.
- Lis des livres en anglais, même s'ils sont petits ou pour les jeunes enfants. Recherche aussi les mots que tu ne comprends pas. Cela te permettra d'acquérir du vocabulaire. Notre jeu Book of Spells te propose plusieurs livres avec des niveaux de difficulté variables.
- Demande à tes ami(e)s ou à des membres de ta famille de parler en anglais avec toi. Ils/elles pourront te donner des conseils et cela te permettra de pratiquer la prononciation de certains mots.
Je te recommande également de consulter cette fiche, qui offre d'autres astuces efficaces pour progresser en anglais.
N’hésite pas à nous réécrire si tu as d’autres questions! 🙂
Re: Question
Salut!
On te donne le périmètre de la figure. Le périmètre de cette figure est constitué du contour de quatre demi-cercles. Donc, en divisant ce périmètre par 4, tu obtiendras la moitié de la circonférence d'un cercle!
Avec la moitié de la circonférence, tu peux déterminer la circonférence. Puis, avec la circonférence, tu peux calculer le diamètre :
Le diamètre du cercle est également la mesure du côté du carré :
Je te laisse continuer avec ces indices. J'espère que cela t'aide! :)
Re: Question
Comme la question a dit qu'elle ne voulait pas de résultats, tu dois faire un équation à la place, comme : la moitié de 20 = 20/2, 5 fois plus que 7 = 5x7
















