Best Of
Re: Question
le meilleur truc que tu peux faire c'est de t'installer Duolingo. Au primaire j'ai jamais eue de vrai prof d'anglais et en sixième année je coulais mon anglais à 56% et maintenant, grâce à duolingo j'étais une des meilleures des meilleures dans ma classe en anglais.
Re: Question
Bonjour OrioleOrange7335,
Merci beaucoup pour ta question! Wow! Tu as un œil de lynx! Merci de nous avoir signalé cette petite erreur. Je vais le signaler à notre équipe de soutien technique afin que l’erreur soit corrigée.
N’hésite pas à nous réécrire si des questions persistent!
Re: Question
Bonjour LucioleAlpha4484,
Merci beaucoup pour ta question! En fait, je crois qu’on veut savoir combien de moles de Mg il y a dans 0,55 mol de Mg3(AsO4)2. Pour ce faire tu devras utiliser la stoechiométrie.
La stœchiométrie étudie les proportions dans une réaction chimique. Tu sais que pour 1 mole de Mg3(AsO4)2, il y a 3 moles d’atome de Mg. Toutefois, dans ce problème, tu n’as pas une mole de la molécule, mais plutôt 0,55 mol. Cependant, tu sais qu’il y a toujours 3 fois plus de moles de Mg dans la molécule. Afin de trouver le nombre de moles d’atome, tu dois donc multiplier le 0,55 par 3. Tu obtiendras alors 1,65 mol de Mg. Voici une fiche qui pourrait t’aider :
J’espère avoir répondu à ta question. N’hésite pas à nous réécrire si des questions persistent!
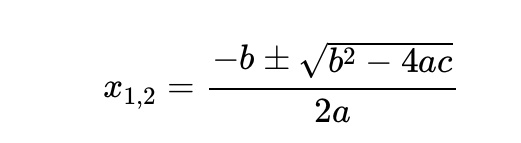
Re: Question
Bonjour OrChouette2848,
Merci beaucoup pour ta question! Pour résoudre ce problème, tu auras besoin de la formule suivante :
X = x0 + Vx0t + 1/2axt^2
Lorsqu’on met les variables aux bons endroits, on obtient alors l’équation suivante pour la voiture A:
X = 0 + 12t + t^2
Pour ce qui est de la voiture B, son équation sera différente, puisqu’elle roule en sens contraire de la voiture À. Son équation est alors :
X = 45 - 8t - 2t^2
Le 45 représente la position initiale de la voiture. Maintenant, tu sais que les deux voitures auront la même position finale, puisqu’elles sont entrées en collision. Tu peux alors mettre les deux équations égales. Tu obtiendras alors :
12t + t^2 = 45 - 8t - 2t^2
Par la suite, tu dois tout mettre du même côté, afin d’obtenir une équation quadratique que tu pourras résoudre en utilisant cette formule :
Tu obtiendras alors deux réponses possibles. Une négative et une positive. Puisqu’on parle de temps, tu devras rejeter la proposition négative. Voici une fiche qui pourrait grandement t’aider :
J’espère avoir répondu à ta question. N’hésite. Pas à nous réécrire si des questions persistent!
Re: Question
Salut JupiterOrange9342 !
Merci d'utiliser nos services. :)
Je vois qu'à la page 12, tu dois compléter les phrases avec les mots ou les verbes à l'étude. Je te suggère d'aller voir ta liste de mots à l'étude pour t'aider à le compléter !
As-tu une question précise sur ces numéros afin que je puisse mieux répondre à ta question ?
N'hésite pas à nous donner des précisions afin que l'on puisse mieux t'aider.
À bientôt et repasse nous voir si tu as d'autres questions,
Angélique
Re: Question
Salut AigleAlpha3469 !
Merci de faire appel à nos services. :)
Dans cet exercice, tu dois mettre en chiffre romain les siècles.
Par exemple, il est vrai de dire que 1 = I et que 2 = II.
Nous avons justement une fiche qui explique comment fonctionnent les chiffres romains.
La voici :
Je te laisse compléter ton exercice suite à la lecture de la fiche, mais repasse nous voir si tu as d'autres questions! :)
Angélique
Re: Question
Salut!
On veut avoir la forme canonique de la fonction :
Donc, on veut avoir un paramètre k, c'est pourquoi le 5 a été exclu.
N'hésite pas si tu as d'autres questions! :)
Re: Question
Salut DiamantSigma5227 !
Merci d'avoir posé ta question. :)
Tu peux comparer les pièces de monnaie aux nombres décimaux, c'est-à-dire les nombres à virgule.
Par exemple : 1$ et 50 sous peut s'écrire ainsi : 1,50$.
Nous avons justement une fiche à ce sujet :
J'espère que cela répond à ta question, n'hésite pas à repasser nous voir si tu as d'autres questions. :)
Angélique
Re: Question
Salut DiamantSigma5227 !
Merci de faire appel à nos services. :)
Nous avons une fiche qui te montre justement tout ce dont tu devras savoir pour multiplier un nombre à trois chiffre par un nombre à deux chiffres.
Voici un exemple :
35 × 162 = ?
Voici la fiche :
N'hésite pas à repasser si tu as d'autres questions! :)
Angélique
Re: Question
Salut DiamantSigma5227 !
Merci d'utiliser la zone d'entraide. :)
Pour débuter, commence par calculer les multiplications.
5 x 1 000 000 = 5 000 000
8 x 10 000 = 80 000
etc.
Ensuite tu pourras les additionner afin de voir quel est le nombre! :)
Exemple : 5 000 000 + 80 000 + ...
Voici notre fiche sur la décomposition des nombres si tu veux en apprendre plus :
J'espère que cela répond à ta question. Repasse nous voir si tu as d'autres questions. :)
Angélique



