Liste de discussions
-
Vérifiée par Alloprof
Secondaire 5 • 10mBonsoir,
Pour le E5 a), j'arrive à la réponse après quelques calculs, mais ma démarche n'est pas très claire et mon raisonnement ne se fait pas avec aisance. J'aimerais avoir un exemple de démarche (avec une représentation en dessin du problème).
Merci d'avance!!
-
Vérifiée par Alloprof
Secondaire 5 • 10mBonsoir, je ne comprends pas comme je suis censée trouver les donnés afin de faire un graphique aux 2 questions.
-
Vérifiée par Alloprof
Secondaire 5 • 10mI'm this question ok find it a bit contradictory. Is it just me or the fact that they ask us to refer to question 1, one can assume the initial distance is at 0 meters. But after seeing the answer key they put - 3.5. is it just me or it's kind of ambiguous? This is regarding question 8.a. chapter 2 UARM.
-
Vérifiée par Alloprof
Secondaire 5 • 10mBonjour j'espère que vous aller bien, j'ai essayer de comprendre le graphique de position par le temps et je ne comprenait pas le x si c'était la position ou si cela pouvais représenter le delta x, mais je crois que j'ai compris, mais je ne suis pas sûre de mon raisonnement, pourriez-vous me dire si mon raisonnement est bon svp?? Alors j'Ai compris que la raison pour laquelle l'axe des x est la position ses qu'on veut juste dire il est ou par rapport au point de départ qui est le 0 mètre. Ensuite, on pourrait interpréter le graphique avec un delta dans le sens où on peut dire que entre 0 et 5 secondes ils ont parcouru 100 m donc ceci est un déplacement, car ses une photo de avant et après donc le déplacement du mobile entre 0 et 5 seconde. Donc quand on fait l'aire sous la courbe du graphique de vitesse par le temps, on trouve donc entre 0 et 5 seconde il a augmenter de combien de mètre donc il ses éloigné ou rapprocher de combine donc ceci serait un delta x et en même temps, il nous donne aussi la position parce que on ses que la 5 seconde s'il a augmenter au totale de 100 m à 5 seconde il est à 100 m le mobile et on peut dire quù,il est à 100 m du point de départ donc 0 mètre et si jamais on a un delta x négatif cela voudrait dire que la mobile s'éloignerais mais vers la gauche par exmeple, d'où pk la pente du graphique par la temps serait décroissante et donc si le mobile est à -400m après 5 seconde cela voudrait dire que il est à 400 m vers la gauche du point de départ?? Est-ce que mon raisonnement est bon?? Merci à L'avance
-
Vérifiée par Alloprof
Secondaire 5 • 10mBonjour, J'espère que vous allez bien, de plus, je ne comprend pas pk l'air sous la courbe de la vitesse par le temps donnait le delta x. Merci à l'avance!!!
-
Vérifiée par Alloprof
Secondaire 5 • 10mBonjour, j'espère que vous allez bien, dans le graphique de x par le temps (MRU) je ne comprend pas ce que signifie le x qui est la position, genre je pourrait tu comprendre que après 10 secondes au total le mobile aura fait 50 m et après 20 seconde au total il aurait faire 100 m ou est-ce que je pourrait dire qu'aptes 20 seconde le mobile se situe a 100 m ?? Merci à l'avance!!
-
Vérifiée par Alloprof
Secondaire 4 • 10mJe comprend RIEN de la force normal j'ai besoin d'aide /(ㄒoㄒ)/~~
-
Vérifiée par Alloprof
Secondaire 5 • 10mBonjour,
Est ce que c'est bien tracé en sachant que la source lumineuse est étendue ?
Merci.
-
Vérifiée par Alloprof
Secondaire 5 • 10mBonjour,
Quelle différence ya t-il entre le graphique du onde qui représente son temps et un graphique représentant sa distance?
Merci.
-
Vérifiée par Alloprof
Secondaire 5 • 10mBonjour,
En divisant des m/s sur des Hz pour trouver une longueur d'onde, obtient-on des mètres ou des centimètres ?
Merci.
-
Vérifiée par Alloprof
Secondaire 5 • 10mBonjour,
La période de cette onde est de 2?
Merci.
-
Vérifiée par Alloprof
Secondaire 5 • 10mBonjour! Je ne comprend pas cela, pourriez-vous m'aider? Merci!
-
Vérifiée par Alloprof
Secondaire 5 • 10mBonjour ,
Comment trouver la longueur d'onde avec une distance, un temps et une fréquence ?
Merci.
-
Vérifiée par Alloprof
Secondaire 5 • 10mBonjour! C'est quoi un système de référence?
Merci
-
Vérifiée par Alloprof
Postsecondaire • 10mJe ne comprend pas pourquoi la réponse s’écrit O 56,31 N à la fin
-
Vérifiée par Alloprof
Secondaire 5 • 10mQuelqu’un pourrait m’expliquer la perception du mouvement lorsque 2 objets en sont mouvement et on veut la vitesse de un par rapport à l’autre
-
Vérifiée par Alloprof
Secondaire 5 • 10mEst ce que O 22,5 S c'est la même chose que dire S 22,5 O pour dire l’orientation d’un vecteur
-
Vérifiée par Alloprof
Primaire 1 • 10mpouver vous ajouter des nombres et des lettres qui tombe s'il vous plait
-AllosaureRouge9515
-
Vérifiée par Alloprof
Secondaire 5 • 10mBonjour,
je ne comprend pas avec quelle formule et quelles étapes je dois réaliser ce problème. Est ce que je peux mettre mes données dans une grosse formule et mettre -1 m au Delta y
-
Vérifiée par Alloprof
Secondaire 5 • 10mBonjour !
Je sais que cette question est souvent posée et qu'il y a des fiches sur le sujet mais je ne trouve jamais la bonne explication.C'est quoi les différences et caractéristiques d'une vitesse vectorielle instantanée,vitesse scalaire instantanée,vitesse scalaire,vitesse vectorielle,vitesse vectorielle moyenne et vitesse scalaire moyenne?Je n'arrive pas à les reconnaitre dans mes exercices je me mélange toujours et je n'arrive pas à reconnaître les différences entre toutes ses types de vitesse.
Merci!
-
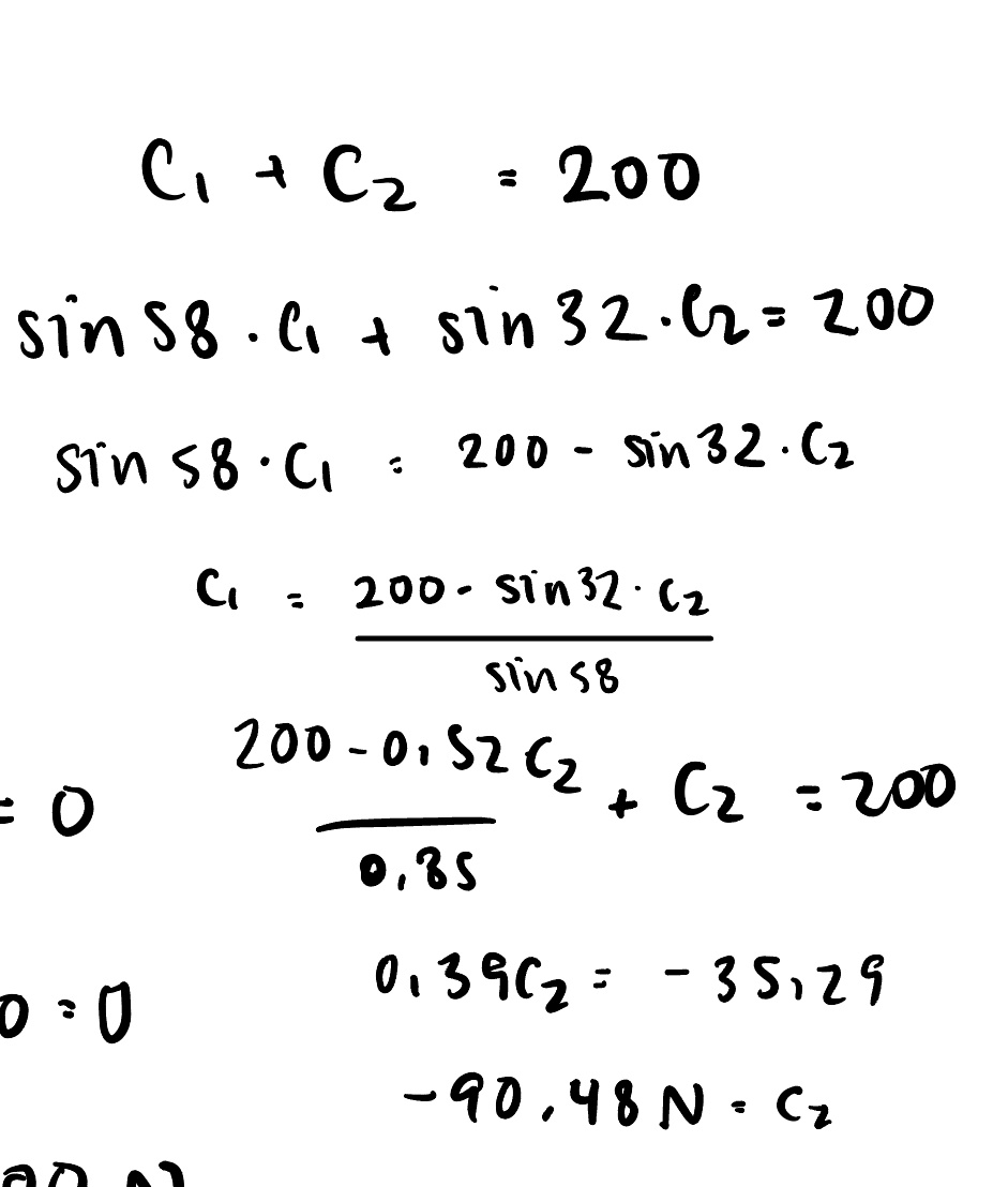
Vérifiée par Alloprof
Secondaire 5 • 10mJ’ai demandé il y’a quelques heures par rapport à cette question. J’ai ajouté la question. Par rapport à la question, j’ai essayé de faire une système d’équation en combinant les composantes y qui vont être égales à 200 N. Cependant, j'ai obtenu la réponse comme un chiffre négatif. Est ce qu’il y’a un moyen de faire ce problème?
-
Vérifiée par Alloprof
Secondaire 5 • 10mAidez moi s’il vous plaît! Je ne comprends pas pourquoi j’ai eu le câble 2 (F2) comme chiffre négatif.
-
Vérifiée par Alloprof
Secondaire 5 • 10mBonjour! Je ne sais pas la réponse à cette question et comment l'expliquer.
Un enfant et un adulte sautent en même temps à partir d'une même hauteur. Lequel des deux atteint le sol en premier et pourquoi? On ne tient pas compte de la résistance de l'air.
-
Vérifiée par Alloprof
Secondaire 5 • 10mBonjour, comment est-ce que la position peut être un vecteur? Il n'y a pas de norme pourtant?
Merci
-
Vérifiée par Alloprof
Secondaire 5 • 10mHi,
Regarding Chapter 2 UARM:
I saw online I can just simply multiply 5/18 to get m/s. Is this ok or will I lose marks on my exam. Btw, it's been about 16 years since I did mathematics so In a bit rusty in this department.
Thank you,
-
Vérifiée par Alloprof
Secondaire 5 • 10mBonjour, AlloProf
pour les systèmes de la relativité du mouvement, comment on identifie laquelle est système 1 et laquelle est la système 2 pour la formule V2=V1+V1->2
Merci!
-RequinAuthentique849
-
Vérifiée par Alloprof
Secondaire 5 • 10mBonjour, AlloProf,
Dans la première partie d’une projection d’un objet jusqu’au sommet, est-ce que l’accélération verticale est positive? Avec cette logique, La deuxième partie sera négative?Pour ce numéro, théoriquement, est-ce que c’est correcte d’utiliser un déplacement Y positive (1,7m) avec une accélération positive au lieu des deux variables négatives comme illustrés dans les calcules.
Merci!
-RequinAuthentique849
-
Vérifiée par Alloprof
Secondaire 5 • 10mBonjour vous m’avez aidé pour le n17 et le n18 que j’ai envoyé mais il ne faut pas utiliser d’identité trigonométrique. Aussi, la réponse du n18 est la 5eme marche donc ce n’est pas bon
-
Vérifiée par Alloprof
Secondaire 5 • 10mBonjour pouvez vous m'aider a resourdre le n17 et n18 svp. c'est urgent. Merci!17- Une carabine tire une balle en direction d'une très petite cible située à 800 m positionnée à la même hauteur que l'arme. Si la balle de la vitesse à la sortie du canon est de 460 m/s, à quel angle au-dessus de l'horizontal doit-on braquer l'arme pour que la balle frappe la cible ?
-
Vérifiée par Alloprof
Secondaire 5 • 10mFor F, What do they mean by a constant magnitude? A magnétisé is basically it's distance regardless of its direction. Probably not important but I'm curious why they say that in the answer booklet.






















