Liste de discussions
-
Vérifiée par Alloprof
Secondaire 5 • 10mBonjour, j'espère que vous allez bien, dans mon cahier il disent celaMais il y a le Fo et le Fi alors dans ma tête il y a deux longueur focale, je ne comprend pas ce qu'ils disent dans le cahier. Pouvez-vous m'aider svp?? Merci à L'avance !!
-
Vérifiée par Alloprof
Secondaire 5 • 10mSi un objet roule le long d'un plan incliné en MRUA, est ce que sa masse a un impact sur son accélération? Si oui, pourquoi un objet avec une plus petite masse aurait une accélération moindre qu'un objet ayant une plus grande masse?
-
Vérifiée par Alloprof
Secondaire 5 • 10mBonjour, c'est la 3e fois que je pose cette question. Je vais tenter de mieux exprimer le tout.
1.1- Pourquoi peut-on utiliser la force motrice dans la formule de la force résultante lors de la dernière étape? Je croyais que la force résultante et la force motrice étaient deux forces différentes. Ce qui m'amène à poser une seconde question dans cette question:
1.2- Si la force résultante est l'ensemble des forces appliquées sur un corps, pourquoi n'est-elle pas équivalente à la force motrice qui est l'ensemble des forces additionnées ensemble (Fm = Ff + Fr)? N'est-ce pas contradictoire?
2- Pourquoi n'utilise-t-on pas la force normale dans cet exercice? Une personne a répondu que c'est parce qu'elle annule les autres forces... ce qui ne m'aide pas vraiment à comprendre. Pourquoi dans certains exercices on soustrait la force normale à la force motrice, mais pas dans tous? Est-ce seulement lorsqu'on calcule la force verticale?
-
Vérifiée par Alloprof
Secondaire 5 • 10mBonjour, comment est-ce qu’on fait pour résoudre ce problème?
-
Vérifiée par Alloprof
Secondaire 5 • 11mDans le problème de calcul de la force de frottement #3 ci-dessous, pourquoi peut-on utiliser la force motrice dans la formule de la force résultante? De plus, pourquoi n'utilise-t-on pas la force normale dans cet exercice?
-
Vérifiée par Alloprof
Secondaire 4 • 11mSalut Alloprof,
Quelqu'un pourrait-il m'expliquer la célèbre formule d'Einstein : E=mc2 ?
-
Vérifiée par Alloprof
Secondaire 5 • 11mBonjour! Il y a une erreur dans la retranscription de la distance moyenne entre la Terre et le Soleil dans la fiche sur la force gravitationnelle. Merci!
-
Vérifiée par Alloprof
Secondaire 5 • 11mBonjour je fais un laboratoire sur la chute libre et j’aimerais savoir comment je pourrait limiter le frottement dans mon protocole pour obtenir une accélération gravitationnelle le plus près possible de 9,8 m/s carré
-
Vérifiée par Alloprof
Secondaire 5 • 11mDans le problème de calcul de la force de frottement #3 ci-dessous, je ne comprends pas pourquoi la force motrice devient la force résultante. Est-ce possible de l'expliquer svp? De plus, pourquoi n'utilise-t-on pas la force normale dans cet exercice?
-
Vérifiée par Alloprof
Secondaire 5 • 11mBonjour! J'effectue beaucoup de problèmes avec les formules de MRUA et je ne comprends pas comment choisir la bonne formule pour une étape donnée.
Par exemple, l'exercice 3 dans la fiche sur la chute libre:Pour l'étape 3 du problème (trouver le temps nécessaire pour que l'objet arrive au sol à partir du point le plus haut), j'ai choisi d'utiliser la formule Δx = ((Vi - Vf) * Δt)/2 étant donné que j'ai toutes les informations (soit, Δx = 12.8m (trouvé à l'étape précédente), Vi = 4m/s, Vf = 0m/s (vitesse lorsque le ballon touchera le sol)) et qu'on cherche le Δt.
Cependant, l'exercice prend la formule Δx = Vi * Δt + ½ * a * Δt2 (qui est aussi bonne, étant donné qu'on a aussi toutes les données nécessaires de l'équation).
Pourquoi faut-il prendre cette formule? Est-ce possible de m'indiquer quelle est la réflexion à avoir pour bien choisir svp? Je me dis qu'il doit y avoir une méthode précise étant donné qu'on n'arrive pas au même résultat dépendant de la formule choisie...
Merci d'avance!
-
Vérifiée par Alloprof
Secondaire 5 • 11mBonjour! Je ne trouve pas l'explication de la formule de la portée ci-dessous (habituellement, il y a une fiche explicative avec la formule). La fiche sur les mouvements de projectile ne parle pas de la formule et il n'y a pas d'exemple non plus. Est-ce possible de nous indiquer où la trouver ou bien de développer à quoi sert la formule avec un exemple SVP? Merci d'avance!
-
Vérifiée par Alloprof
Primaire 3 • 11mdes jeux de physique
pls
-
Vérifiée par Alloprof
Secondaire 5 • 11mDans un laboratoire sur les lentilles convergentes, nous avons établis 3 protocoles et expériences différents pour trouver la longueur focale.
Nous devons répondre à une question, mais je ne vois pas par ou commencer pour y répondre.
La question est la suivante : En tenant compte des résultats, peut-on réaliser les mêmes expériences et obtenir des résultats similaires avec le plan convexe et le ménisque convexe, expliquez ?
-
Vérifiée par Alloprof
Secondaire 5 • 11mEst-il difficile de maintenir une voiture à une vitesse uniforme? Quels sont les obstacles au maintien de la vitesse dans une situation réelle ?
-
Vérifiée par Alloprof
Postsecondaire • 11mJe n'y arrive pas, ça me donne une réponse impossible. L'élongation du ressort de 10cm est impossible, l'énergie disponible n'est pas suffisante pour que le bloc descende de 10cm alors je ne peux pas trouver de vitesse. La force de la constante de rappel et la force de frottement sont plus grande que la force de gravité qui fait descendre le bloc.
-
Vérifiée par Alloprof
Secondaire 5 • 11mDans la mini récup sur la 2e loi de newton, on déduit que l'accélération est égale à 0m/s^2 étant donné que la vitesse est constante, par contre, si on utilise la formule du mouvement d'un corps sur un plan incliné pour trouver l'accélération (a = g*sinθ), ça ne donne pas 0.
Pourriez-vous svp éclaircir ce point?
Merci!
-
Vérifiée par Alloprof
Secondaire 5 • 11mJe ne comprends pas comment dessiner les diagrammes de force (la normale, la tension et le frottement).
-
Vérifiée par Alloprof
Primaire 3 • 11mcomment se forme un cyclone(tornade etc..)
-
Vérifiée par Alloprof
Secondaire 5 • 11mRebonjour, je me demandais aussi si lorsque les rayons qui arrives sur une lentilles sont parallèle ils vont se rencontrer au foyer et est-ce que ce foyer est tjrs sur L'axe principale
Merci à L'avance !!
-
Vérifiée par Alloprof
Secondaire 5 • 11mRebonjour, j'ai encore une autre petite question, je ne comprend pas comment je peux faire pour trouver où ce trouve le centre optique d'une lentille. ma deuxième question est : qu'est-ce qui fait dans la lentille qui fait que les rayons divergent, est-ce que c'est ce qui est à l'intérieur de la lentille?? Ma troisième question est: est-ce que la réfraction changerais en fonction du type de lentille, ex: un ménisque divergent et une lentille biconcave
Merci à L'avance !!
-
Vérifiée par Alloprof
Secondaire 5 • 11mRebonjour, je ne comprend pourquoi pour le ménisque divergent, il y a un côté plus bombé que l'autre
Merci à l'avance !!
-
Vérifiée par Alloprof
Secondaire 5 • 11mRebonjour, j'espère que vous allez bien, je ne comprend pas pourquoi les lentilles convergentes sont plus épaisses au centre que sur les côtés et je ne comprend pas pourquoi les lentilles divergentes sont plus minces au centre que sur les côtés.
Merci à l'avance!!
-
Vérifiée par Alloprof
Secondaire 5 • 11mBonjour, j'espère que vous allez bien, nous sommes dans le chapitre des lentilles et je ne comprend pas pourquoi les faces convexes font converger la lumière ? Merci à l'avance!!
-
Vérifiée par Alloprof
Secondaire 5 • 11mBonsoir, AlloProf,
Qu’est ce que la différence entre une vitesse vectorielle et une vitesse scalaire?
Aussi, comment on les différencie ces deux types de vitesses dans une graphique ou dans une énoncé?
Merci!
-RequinAuthentique849
-
Vérifiée par Alloprof
Postsecondaire • 11mJe ne comprends pas comment résoudre ce problème de vecteur. Pouvez-vous m'aider?
-
Vérifiée par Alloprof
Secondaire 5 • 11mDans ce problème, je comprends pourquoi il faut calculer la valeur y de la force motrice, car la somme des forces qu'on cherche sont les valeurs y, tel qu'écrit à gauche de la formule ∑Fy.
Je ne comprends pas pourquoi on calcule la valeur x (flèche rouge) de la force gravitationnelle si on cherche la force normale. Est-ce possible de m'expliquer svp?
-
Vérifiée par Alloprof
Secondaire 5 • 11mBonjour,
Je ne comprends pas d'ou sort le 40cm en brun?
Merci beaucoup
-
Vérifiée par Alloprof
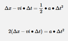
Secondaire 5 • 11mEst-ce possible de me rafraîchir la mémoire quant à comment on passe de 1/2 à une multiplication par 2 de l'expression svp? Je n'ai pas fait de maths depuis 7 ans, alors c'est loin dans mon esprit! Merci!
-
Vérifiée par Alloprof
Secondaire 5 • 11mBonjour,
Comment résoudre ce problème?Pouvez vous me l'expliquer à l'aide d'une esquisse svp?
Merci,
Bonne journée!
-
Vérifiée par Alloprof
Secondaire 5 • 11mBonjour,
Comment résoudre ce problème svp?Merci!


















