Liste de discussions
-
Vérifiée par Alloprof
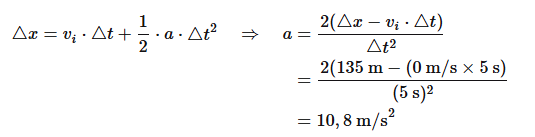
Secondaire 5 • 11mPouvez-vous m'aider à comprendre comment on passe de la formule à gauche à celle de droite SVP? Je comprends qu'on isole l'accélération, mais comment?
-
Vérifiée par Alloprof
Secondaire 5 • 11mpourquoi si la lentille est divergente la distance focale de la deuxième lentille n’est pas considéré comme négative dans les calculs
-
Vérifiée par Alloprof
Secondaire 5 • 11mBonjour,
Pouvez vous m'expliquer comment résoudre ce problème svp.
Un objet est placé à 16 cm du foyer objet d'une lentille plan concave, alors que son image se trouve à 2cm du foyer image. Déterminer la distance focale de cette lentille.
Puisque c'est une lentille plan concave, donc divergente.
-
Vérifiée par Alloprof
Secondaire 5 • 11mBonjour,
Comment résoudre ce problème?Pouvez vous me l'expliquer à l'aide d'une esquisse svp?
Merci,
Bonne journée!
-
Vérifiée par Alloprof
Secondaire 5 • 11mBonjour,
Pouvez vous m'expliquer comment résoudre ce problème svp.
Un objet est placé à 16 cm du foyer objet d'une lentille plan concave, alors que son image se trouve à 2cm du foyer image. Déterminer la distance focale de cette lentille.
-
Vérifiée par Alloprof
Secondaire 5 • 11mje ne comprend pas le denier chapitre anvec les calcule 1 sur f
-
Vérifiée par Alloprof
Secondaire 5 • 11mBon matin!
A) Voici un problème de physique sur la chute libre:Voici mes calculs:En fait, quand j'avais résous ce problème, j'ai fait une équivalence, soit le fait que la hauteur de l'édifice+ hauteur montée balle est égal au temps du mouvement complet du projectile, donc les 4,50s.
Mais pourquoi ce raisonnement est-il faux?? Si je fonctionne de ma façon, à quoi correspond la hauteur trouvée alors???
B) D'ailleurs, j'ai fait vos exercises en ligne pour m'exercer, mais sachant que mon examen sera plus complexe, connaissiez-vous des sites ou des ressources où je peux trouver des problèmes plus difficiles sur la chute libre, les lancers horizontaux et les lancers obliques qui mettent en jeu les relations de symétrie (entre temps, vitesses), des pièges, etc?
Ça m'aiderait énormément à me sentir plus prête!! Merciii
-
Vérifiée par Alloprof
Secondaire 5 • 11mBonjour!
J'ai un gros examen en physique demain, mais j'ai des questions à clairifier:
1) Pourquoi la formule de la portée n'est pas utilisable dans les projectiles lancés obliquement? Pourquoi cela marche-t-il uniquement avec les lancers horizontaux??
2) Dans un projectile lancé horizontalement, si je lance la balle sur une table, puis elle roule jusqu'à atteindre le bout de la table et tomber vers le sol, la vitesse initiale en y serait-il encore nulle?? Pourquoi?
3) Voici un problème de chute libre:Dans ce problème, j'avais tenté de résoudre directement le problème.
Quel est l'erreur dans mon raisonement, pourquoi cela ne marche pas ici? Si ça me donne pas le temps pour parcourir les 45 m, ce que j'ai trouvé correspond à quoi alors?SVP à l'aideee
-
Vérifiée par Alloprof
Secondaire 5 • 11mBonjour, qqun peut m’expliquer comment résoudre ce problème ?
-
Vérifiée par Alloprof
Secondaire 5 • 11mBonsoir,
Je ne comprends pas mon erreur. La réponse est 15m alors que ma réponse est extrêmement loin.
Merci
-
Vérifiée par Alloprof
Secondaire 5 • 11mSalut!
Je ne comprends vraiment pas cette question. J’ai bien fait l’étape 1 (trouver do), mais après je suis perdue. Pouvez-vous m’aider?Merci!
-
Vérifiée par Alloprof
Secondaire 5 • 11mRebonjour,
Je ne comprends pas mon erreur, la réponse est supposé être 3m.
Merci encore
-
Vérifiée par Alloprof
Secondaire 5 • 11mBonjour,
Je ne comprends pas pourquoi la réponse à la question 8) est de 2m et à la question 9) les réponses sont respectivement de 9m et 3m.
Merci beaucoup
-
Vérifiée par Alloprof
Secondaire 5 • 11mEn lien avec:https://www.alloprof.qc.ca/zonedentraide/discussion/114373/question/p1Juste pour m'assurer d'être prête pour mon labo, sachant que la résistance de l'air peut fausser mes donnés du chute libre, surtout de l'accélération et position, quels sont des pistes de solutions possibles pour améliorer mes manipulations afin d'obtenir des résultats qui concordent réellement avec la chute libre (donc position croissante, et accélération de 9,8).
Merci infiniment pour tout votre aide!!
-
Vérifiée par Alloprof
Secondaire 5 • 11mEn lien avec:https://www.alloprof.qc.ca/zonedentraide/discussion/114373/question/p1Merci pour votre réponse! Pourtant, concernant le frottement de l'air, une chose qui me confonds encore c'est que, est-ce que le déplacement du projectile subit aux résistance de l'air, sera parabolique? Genre respectera t-il la relation quadratique entre la position et le temps, ou est-ce que le déplacement sera impacté??
-
Vérifiée par Alloprof
Secondaire 5 • 11mÀ l'aide!
J'ai un labo sur la chute libre qui s'en vient et j'ai remarqué que j'ai des confusions à clarifier, urgent!!
D'abord, si j'aurais à dessiner la position par rapport au temps d'un projectile en chute libre vers le bas, pourquoi est-ce que cela devrait-me donner une demi-parabole croissante??? Je n'arrive juste pas à distinguer la trajectoire du projectile des positions!
Genre, ça me mélange de parler de position sachant que cela fait d'habitude référance au delta x, alors qu'en chute libre, le mouvement n'est que vertical. J'ai l'impression de confondre des choses...
Ensuite, dans mon labo, il est possible que l'on explore l'effet de la résistance de l'air sur l'accélération et le déplacement d'un objet en chute libre. Or, comment décrire la variation de ces deux variables sous l'effet de la résistance de l'air? Mon projectile serait-il encore en mouvement MRUA??
J'ai vraiment vraiment besoin de vos explications détaillés pour me préparer à ce labo! Merci pour tout votre aide!!!
-
Vérifiée par Alloprof
Secondaire 5 • 11mBonjour,
est ce que cette réponse est bonne et répond bien à la question?
merci
-
Vérifiée par Alloprof
Secondaire 2 • 11mun four a micro-ondes nécessites 3 000 V pour fonctionner. Comment peux-tu obtenir cette différence de potentielle s'il est branché dans une prise de courant murale de 120 V ?
-
Vérifiée par Alloprof
Secondaire 5 • 11mBonjour, est-ce que vous pourriez m’aider à faire le numéro 18 svp. Merci
-
Vérifiée par Alloprof
Secondaire 5 • 11mBonjour, AlloProf,
Je viens justement de poser la question, mais je n’ai pas nécessairement eu la réponse que je voulais…
Quelle formule ainsi que quelle vitesse devront nous utiliser pour avoir les données représentées dans ce graphique?
La vitesse en fonction du temps d’un graphique utilisé-tu la vitesse instantanée ou la vitesse moyenne?
Pour la formule, est-ce qu’on fait Vitesse(m/s)/Temps(s) ou La variation de temps (m/s)/ la variation de temps (s).
Merci encore!
-RequinAuthentique849
-
Vérifiée par Alloprof
Secondaire 5 • 11mBonjour, AlloProf,
Quelle formule ainsi que quelle vitesse devront nous utiliser pour avoir les données représentées dans ce graphique?
Merci!
-RequinAuthentique849
-
Vérifiée par Alloprof
Secondaire 5 • 11mBonsoir, AlloProf
Quelles sont les caractéristiques d’un MRU d’un corps?
Merci!
-RequinAuthentique849
-
Vérifiée par Alloprof
Secondaire 5 • 11mBonjour, comment faire la preuve géométrique et mathématiser la situation où on retrouve plusieurs triangles isométriques. La longueur de la partie visible de l'image de la règle est le double de la longueur «l» (avec notion de champ de vision, miroir plan)
-
Vérifiée par Alloprof
Secondaire 5 • 11mLa lumière parcourt 0,80m en 4,0 x 10-⁹ s dans une substance, comment je trouve la vitesse de la lumière en m/s dans cet substance?
-
Vérifiée par Alloprof
Postsecondaire • 11mBonjour, comment trouve ont le centre de masses dans un schéma comme celui là?
-
Vérifiée par Alloprof
Secondaire 5 • 11mBonsoir! Pourquoi le cristallin à besoins d'accomoder si pour un oeil normal, di est toujours égal à la même chose quelque soit la positon de l'objet? Merci
-
Vérifiée par Alloprof
Secondaire 5 • 11mSalut !
J'ai un test demain sur cette matière en physique et je ne sais vraiment pas comment résoudre cette question de révision ainsi que plusieurs d'autres similaires.Merci en avance !
-
Vérifiée par Alloprof
Secondaire 5 • 11mJe n’arrive pas à identifier les données dans ce problème que la distance focale? Quel sont les autres donnée, comment puis je les trouver?
-
Vérifiée par Alloprof
Postsecondaire • 11mCe problème me cause des difficultés
-
Vérifiée par Alloprof
Secondaire 5 • 11mBonsoir
La loi de réflexion put elle est s’appliquer à la reflection diffuse ? Moi je pense pas parce la loi de la réflexion dit que l’angle d’incidence doit etre égale a l’angle de réflexion.




















