Best Of
Re: Question
Salut,
Merci d'utiliser la zone d'entraide.
Je ne suis pas certaine de bien comprendre ta question, mais, si tu désires savoir ce qu'il faut mettre dans une feuille de note pour l'examen d'écriture du ministère, je te suggère de consulter attentivement la fiche suivante:
Si je ne réponds pas précisément à ta question, n'hésite pas à revenir nous voir et à ajouter des détails à cette dernière.
À bientôt,
Karen
Re: Question
Rebonjour!
Donc, la valeur de x semble bien être de 1! Ta factorisation est bien.
Faisons maintenant le volume.
25* (2x-1) = 25*(2*1-1) = 25 cm^3.
Vérifie avec le corrigé, mais ça semble correct! 😊
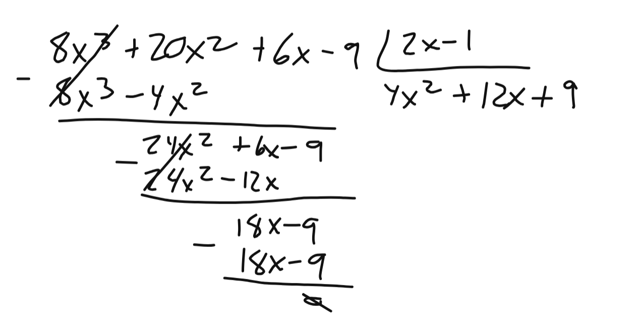
Re: Question
Salut à toi intrépide prodige! 😁
Ça nous fait plaisir que tu utilises Alloprof!
Voici le résultat de la division du polynôme par le binôme.
Tu as utilisé cette égalité pour la factorisation?
Si oui, envoie-nous ta démarche sur la factorisation, nous pourrons vérifier. C'est vrai que ça semble un peu petit!
Écris-nous si tu as d'autres questions. 😊
À bientôt sur la Zone d'entraide! 😎
Re: Question
Salut,
Merci d'utiliser les services d'Alloprof!
Fin Lapin 3 à laisser sa place à la nouvelle version. Il n'est donc plus possible d'y accéder.
On tente de toujours améliorer nos jeux, il y a donc parfois des changements. Avec la nouvelle version de fin lapin, tu peux maintenant jouer avec un à trois amis grâce au mode multijoueur!
Si tu désires l'essayer, c'est par ici:
J'espère que tu l'apprécies tout de même!
À bientôt,
Karen
Re: Question
Bonjour RubisCharismatique1174,
Merci pour ta question :)
La première chose à faire est de trouver le point milieu du segment AB. Pour ce faire, je t'invite à consulter la page suivante qui indique bien la marche à suivre: https://www.alloprof.qc.ca/fr/eleves/bv/mathematiques/le-point-milieu-et-le-point-de-partage-d-un-segmen-m1313
Ensuite, tu devras trouver le taux de variation de la droite passant par AB. Ce sera utile, puisqu'avec cette information, tu pourras trouver le taux de variation de la droite perpendiculaire. En effet, la multiplication des taux de variation de deux droites perpendiculaires est égale à -1 :)
Avec un point (le point milieu du segment) et le taux de variation, tu devrais être en mesure de trouver l'équation de la droite. Pour mettre l'équation sous forme générale, tu peux consulter la page suivante au besoin: https://www.alloprof.qc.ca/fr/eleves/bv/mathematiques/les-formes-d-equations-d-une-droite-m1320
N'hésite pas si tu as d'autres questions :)
Sandrine
Re: Question
Bonjour RubisCharismatique1174,
Merci pour ta question :)
Quand tu travailles avec le cosinus d’un angle obtus (donc un angle entre 90° et 180°), tu n’as pas besoin de le soustraire à 180° pour utiliser la fonction cosinus: tu peux directement faire cos(angle) même si l’angle est obtus.
Le cosinus d'un angle obtus sera négatif, car dans le cercle trigonométrique, le cosinus correspond à la projection sur l’axe horizontal (x), et entre 90° et 180°, cette projection est du côté négatif de l’axe.
N'hésite pas si tu as d'autres questions :)
Sandrine
Re: Question
Bonjour LithiumCocasse8477,
Merci pour ta question :)
Le diagramme en arbre, aussi appelé arbre de dénombrement ou arbre des possibilités, est une représentation visuelle qui permet de dénombrer tous les résultats possibles d’une expérience aléatoire à plusieurs étapes. On commence par tracer le nombre de branches correspondant au nombre de possibilités de l'événement. S'il s'agit d'un lancer pile ou face, il y aurait 2 branches (P, F), mais s'il s'agit d'un lancé de dé, il y aurait 6 branches (1, 2, 3, 4, 5, 6).
On trace ensuite le nombre de branche correspondant aux possibilités du deuxième événement au bout de chacune des branches du 1er événement. Cela se poursuit pour tous les événements. Tu peux en voir des exemples ainsi que des façons de l'utiliser sur cette page: https://www.alloprof.qc.ca/fr/eleves/bv/mathematiques/le-diagramme-en-arbre-m1360
Pour les différents diagrammes pour déterminer les probabilités, je t'invite à suivre les étapes pour chacun des diagrammes sur la page suivante: https://www.alloprof.qc.ca/fr/eleves/bv/mathematiques/les-modes-de-representation-et-le-denombrement-des-resultats-possibles-m1341
N'hésite pas si tu as d'autres questions :)
Sandrine
Re: Question
les aditions c'est facile a comprendre exemple
tu dois faire 10+5=15 comment j'ai fait tu prend 10 dizaines et 5unité pour les assembler tu rajoute tes unité puis sa te fait 15
j'espere que cette explication est utile pour toi
Re: Question
Bonjour!
Les additions consistent à ajouter une quantité à une autre quantité.
Afin d'en savoir plus et de voir plusieurs exemples, je te suggère de consulter la fiche ci-dessous :
Si tu as d'autres questions, n'hésite pas à nous réécrire. Nous te répondrons avec plaisir!
Laurie :)
Re: Question
Merci pour ta question!
Nous comprenons très bien la tâche qui t'est demandée, mais nous préférerions que tu nous reposes ta question en y incluant tes tentatives de démarche. De cette manière, nous serons en mesure de répondre à ta question plus précisément.
N'hésite pas si tu as d'autres questions!

