Best Of
Re: Question
Salut!
Une phrase impérative est une phrase qui sert à donner un ordre, un conseil ou une instruction à quelqu'un. C’est comme quand tu demandes ou dis à quelqu'un de faire quelque chose.
Par exemple :
- Mange ta soupe! (C’est un ordre, on demande à quelqu’un de manger sa soupe.)
- Lève-toi! (On dit à quelqu’un de se lever.)
- Sois gentil avec ton camarade. (C’est un conseil.)
Les phrases impératives commencent souvent par un verbe à l'infinitif, sans sujet, car on parle directement à quelqu’un. Il y a aussi parfois un point d’exclamation pour montrer qu’on parle avec force ou insistance.
J'espère que tu comprends mieux maintenant ce qu'est une phrase impérative.
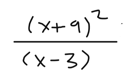
Re: Question
Salut PapillonEmpathique9513 😁
Merci pour ta question!
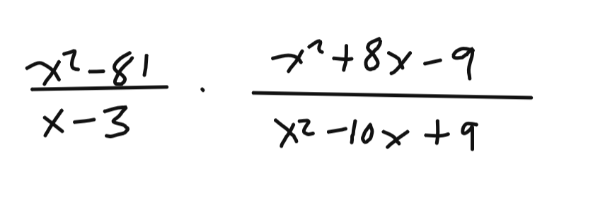
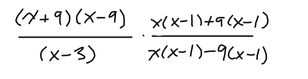
Commençons par simplifier l'expression.
On peut multiplier par l'inverse de la fraction, c'est ce que diviser par une fraction signifie.
Maintenant, utilisons quelques techniques de factorisation.
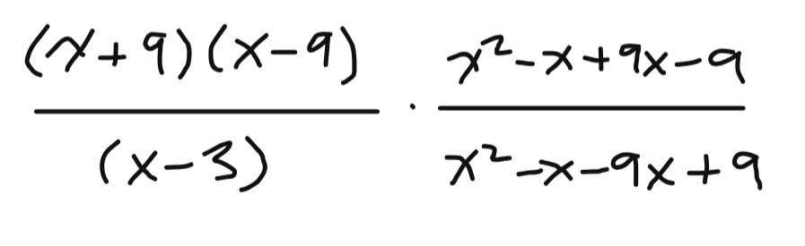
On a une DC en haut à gauche, puis deux techniques produit-somme à faire à la fraction de droite, au numérateur et au dénominateur.
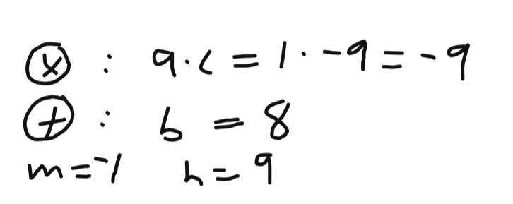
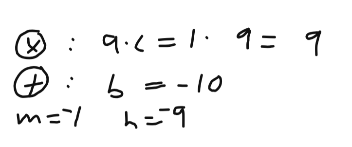
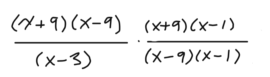
On fait les deux doubles mises en évidence, ce qui nous donne ceci.
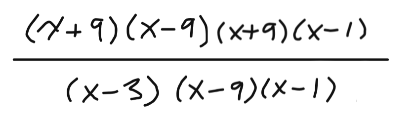
On procède à la multiplication.
Les restrictions se posent à cette étape (une fois l'expression factorisée, juste avant de simplifier).
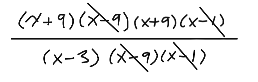
Il y a donc trois restrictions pour que le dénominateur ne soit pas égal à 0 : 3, 9 et 1.
On peut alors faire les simplifications qui s'imposent.
Tu peux réviser les techniques de factorisation ici au besoin.
Et, des exercices sur les fractions rationnelles se trouvent ici.
Écris-nous si tu as d'autres questions. 😊
À bientôt sur la Zone d'entraide! 😎
Re: Question
Salut,
Woah ! Quelle activité intéressante ! :)
Est-ce que tu as des consignes précises ? Est-ce que ça doit être en lien avec un superhéros ? Un animal ? Si oui, tu dois tout d'abord trouver des idées liées à tes consignes.
Sinon, voici quelques trucs :
- Construis ton personnage principal : son nom, son âge, son genre, son activité préférée, ses peurs, son apparence physiques, s'il a des caractéristiques uniques. Tu peux tout noter sur une feuille :)
- Construis ton univers : endroit, époque, particularités
- Trouve ton intrigue : est-ce que tu veux que ta BD raconte une mission ? Le quotidien ? Veux-tu qu'elle soit comique ?
- Crées tes autres personnages (adjuvants, opposants)
- Planifie ton intrigue : situation initiale, élément déclencheur, péripéties, dénouement (si tu veux faire une BD à intrigue bien entendu !)
- Écris ton dialogue
- Fais tes dessins
Pour trouver un sujet, tu peux penser à tes intérêts (des films, des livres que tu connais), à ton quotidien aussi ! :) Un truc, c'est d'écouter de la musique et d'essayer de t'en inspirer :)
J'espère t'avoir aidé,
Bonne journée,
Karen
Re: Question
Salut!
Une météorite est un corps provenant de l’espace ayant percuté le sol de la Terre ou de n'importe quel astre (la lune, une autre planète, un satellite naturel, etc.)
Il ne faut pas confondre avec météoroïde, qui est l'objet avant qu'il ne pénètre dans l'atmosphère d'un astre.
Un météore est un météoroïde qui est entré dans l'atmosphère et qui commence à brûler. C'est ce qu'on appelle aussi "étoile filante".
En résumé :
météoroïde = avant la traversée de l'atmosphère
météore = pendant la traversée de l'atmosphère
météorite = après la traversée de l'atmosphère, lorsqu'il atteint le sol
Voici une fiche qui pourrait t'être utile : Les météores et les météorites | Secondaire | Alloprof
Et voici d'autres explications reçues pour des questions similaires à la tienne :
- Bonjour,<br> Je ne comprends pas ce que sont les météoroïdes. — Alloprof
- Quelle est la différence entre un météore et une météor — Alloprof
J'espère que c'est plus clair pour toi! :)
Re: Question
Salut LuneAlpha5937 😁
Merci pour ta question!
Je te montre en images! Un vallée est le creux de montagnes, souvent formé par un cours d'eau.
Alors, le boulevard représente comme une grande route pour les animaux (la fauve).
Saint-Maurice est une petite ville au nord de Trois-Rivières.
La lointaine caravane de monts bleus semble désigner un groupe de petits monts (pics de montagnes), non une caravane comme l'automobile. Un peu comme sur l'image plus haut.
Des troupeaux de nuage, je pense que l'image est claire : plein de petits collés, comme des brebis!
Un engoulevent semble être une sorte d'oiseau, je ne le connais pas non plus!
L'astuce principale pour comprendre le sens des mots dans un texte est de t'aider du dictionnaire et de faire quelques recherches internet au besoin pour obtenir des images, ça aide beaucoup à se faire une idée de quoi on veut parler.
Écris-nous si tu as d'autres questions. 😊
À bientôt sur la Zone d'entraide! 😎
Re: Question
Salut! Je serais intéressé de savoir comment tu arrives à 389 cm^2. En montrant ta démarche, ce sera plus facile de comparer nos idées. De mon côté j'arrive à une réponse différente:
Aire non utilisée = Aire rectangle - 10 * Aire de cercle
= 40*16 - 10 (π*4^2)
= 640 cm^2 - 160π
= 640 cm^2 - 502.65 cm^2
= 137.35 cm^2
Re: Question
Bonsoir, MarsHumble8541!
D'abord, il faut comprendre pourquoi les notes ont chuté. Tu dis connaître la matière, mais il faut s'assurer de cela en faisant tous les devoirs. Après l'examen, tu dois consulter ta copie pour savoir pourquoi tu as perdu des points. Peut-être que tu apprends bien, mais qu'au moment de l'examen tu sois stressée. Assure-toi d'avoir des habitudes de vie saine.
Ensuite, pour être bonne en mathématiques, il ne s'agit pas d'apprendre par coeur, mais de développer l'esprit logique et de comprendre la matière. Même si tu crois connaître une notion, à l'examen, il faut que tu l'appliques rapidement et que cela vienne naturellement. Pour y parvenir, le meilleur moyen est la pratique! Je t'invite à essayer les exercices sur notre site.
N'hésite pas à poser d'autres questions! Continue ton bon travail, tu es capable de réussir! ☺️✨
Re: Question
Bonjour ChevalierCharismatique6023,
Merci beaucoup pour ta question! Non, les planètes n’émettent pas de lumière. En effet, les astres qui émettent de la lumière sont les étoiles, comme notre Soleil. Puisque les planètes ne sont pas des étoiles, elles n’émettent donc pas de lumière. Toutefois, les planètes peuvent réfléchir la lumière qui est émise par les étoiles. C’est ainsi que nous sommes en mesure d’observer les planètes grâce aux télescopes. Voici une fiche qui pourrait t’aider :
J’espère avoir répondu à ta question. N’hésite pas à nous réécrire si des questions persistent!
Re: Question
Bonjour!
Il est possible que la note à ce cours affecte ta moyenne globale. Cependant, l'année scolaire n'est pas terminée, il est encore temps de se reprendre! :D
Généralement, les programmes préuniversitaires ne sont pas beaucoup contingentés, ce ne sont donc pas des programmes compétitifs.
Je te suggère tout de même de prendre rendez-vous avec un conseiller en orientation afin de discuter de ton dossier scolaire et de l'admission au cégep! :D
Si tu as d'autres questions, n'hésite pas à nous réécrire. Nous te répondrons avec plaisir!
Laurie :)














