Questions populaires
Liste de discussions
-
Secondaire 5 • 36min
Je n’arrive pas à faire de numéro aider moi s’il vous plaît
-
Primaire 5 • 41min
comment on conjugue le verbe papoter au plus que parfait?
-
Secondaire 2 • 1h
Quelle est la différence entre le rapport de similitude et le rapport d'homothétie?
-
Vérifiée par Alloprof
Secondaire 1 • 1hSalut est ce que quelqu'un pourrait m'expliquer c'est quoi les Caractéristiques physiques de la Grèce svp. Nous avons parler de la démocratie Athéniennes, la situations géographique du térritoire grec,lieux importants a Athène et les groupes sociaux d'Athène. merci!
-
Secondaire 3 • 1h
Si j'ai 51 personnes au total et que 36 d'entre elle va à New York comment je fait pour trouver le pourcentage
-
Secondaire 1 • 2h
Comment fait t'on pour mesurer la mesures des angles sans rapporteur d'angles??
-
Vérifiée par Alloprof
Secondaire 1 • 2hJe ne comprend pas pourquoi « demander une question » ne se dit pas. Quelqu’un peux m’expliquer?
-
Secondaire 1 • 2h
comment on divise un nombre decimale par un autre nombre decimale
-
Vérifiée par Alloprof
Secondaire 1 • 2hSalut est ce que quelqu'un pourrait m'expliquer c'est quoi les Caractéristiques physiques de la Grèce svp!
-
Secondaire 4 • 2h
Bonjour, je n’arrive pas à compléter ce numéro sur la force efficace. Pourriez-vous m’aider
-
Secondaire 1 • 3h
Lechemin vers l'Académie? Vous n'êtes pas àcôté! Vous devrez prendre une calèche très rapide pour y arriver à temps.Voici deux calèches. Appuie sur le bouton de démarrage pour tester la vitesse de chacune.
Laquelle des deux calèches vous mènera à destinationle plus rapidement?ValiderQuelle est la vitesse de la calèchela plus rapide, enkilomètre parheure?Arrondis ta réponse à deuxdécimales près, s'il y a lieu.km/hValiderTu dois d'abord aller à Parliament Square, qui est à exactement 4,1kilomètres de ton emplacement actuel.
De combien desecondes auras-tu besoin pour t'y rendre, avec la calèche la plus rapide?secondes
-
Secondaire 5 • 3h
Bonjour comment je résous cette équation de stœchiométrie svp
-
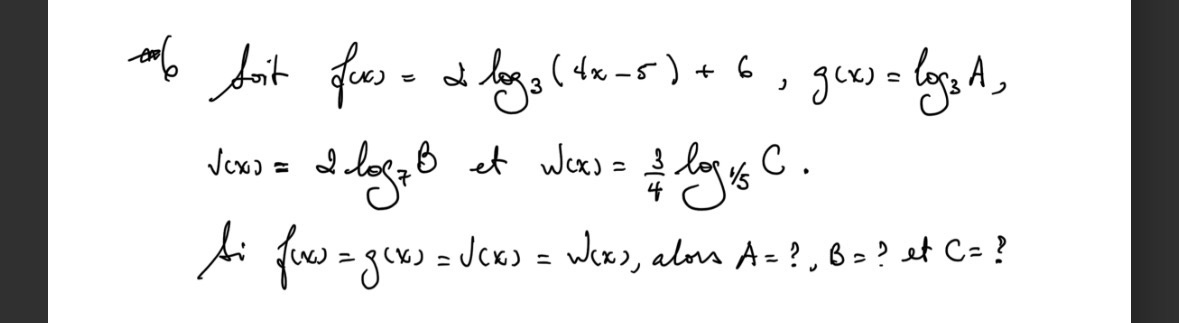
Secondaire 5 • 4h
Je n’arrive pas à trouver l’équation de f(x) alloprof pouvez-vous m’aider? S’il vous plaît!!
-
Vérifiée par Alloprof
Secondaire 1 • 4hou on place la virgule dans une phrase?
-
Secondaire 1 • 4h
Bonjour j'ai un examen lundi et je ne comprends pas le shéma de principe et de construction pouvez vous me l'explique svp
-
Secondaire 1 • 4h
Donne moi des problèmes de fractions simples
-
Vérifiée par Alloprof
Primaire 6 • 4hBonjour les profs Alloprof,
J’étudie le temps de verbe plus-que-parfait et j’aimerais savoir quand on utiliserait ce temps de verbe. Est-ce le même utilisation que le passé composé?
-
Secondaire 5 • 5h
Bonjour Alloprof!
J’ai besoin d’aide dans le numéro suivant. En effet, je ne comprends pas comment je vais pouvoir isoler le i, car la formule est vraiment grosse.Je ne sais pas par ou commencer pourriez-vous m’aider svp. De plus, avez-vous des fiches d’études sur cette matière, car je n’ai pas réussi a en trouver.
-
Secondaire 5 • 5h
Bonjour katia demande a l'équipe technique de regarder ce que je viens de leur envoyer. Urgent !!!!!! C'est le seul moyen d'y envoyer. Il ny aucun moyen merci et bonne journée
-
Secondaire 1 • 5h
Bon matin, j'ai de la difficulté avec ce petit problème mathématique. Ce qui me cause problème c'est le salaire des employés pour faire la nappe. Pouvez-vous m'aider?
-
Vérifiée par Alloprof
Secondaire 5 • 6hBonjour alloprof
J'avais une question à mon prof de math et je ne l'ai pas pose parec que j'étais gêné. Dans la question 1) on voit que 4x⁶-5=3. Ma question: est ce que le 4 est une multiplication tout comme tout comme le numéro 2) qui est 4•. Je pose cette question parce que das le numéro 1) on voit le 4x⁶ mais on ne dit pas quil y a une multiplication c'est à dire on n'indique pas le • entre le 4 et le x alors que dans le numéro 2) on indique qu'il y a une multiplication grâce à cette •.
-
Vérifiée par Alloprof
Secondaire 3 • 6hJe ne comprend pas comment trouver sur quel intervalle cette fonction est t’elle croissante
-
Vérifiée par Alloprof
Secondaire 5 • 6hBonjour,
quelle est la différence entre un crédit et un débit ?
s’il vous plaît, merci
-
Vérifiée par Alloprof
Primaire 3 • 6hbonjour je ne comprends pas les nombres décimaux . bonne journée
-
Vérifiée par Alloprof
Secondaire 5 • 7hAlloprof
Je ne peux plus prendre de photo à cause quil.y a un problème technique et j'ai décidé des photos à partir de maintenant par un lien. Par exemple il y a ce lien là. Est ce que je peux envoyer ce lien là. Je sais qu'il n'indique pas mon nom et mon courriel merci.
-
Vérifiée par Alloprof
Secondaire 1 • 7hBonjour, quelle est le fonctionnement de la démocratie au Qc.
Merci.
-
Vérifiée par Alloprof
Postsecondaire • 9hBonjour ! C'est retour aux classes pour moi, et après plusieurs années sans avoir touché aux mathématiques, j'en ai maintenant besoin pour mon cours d'économie globale au CÉGEP. J'ai regardé au travers de diverses fiches sur les fractions et quelques fiches d'algèbre sur Alloprof car je veux retourner aux bases, mais j'ai de la difficulté à trouver les bonnes fiches pour les équations que j'ai à remplir, car je ne me souviens plus des noms des problèmes ! Si on pouvait m'orienter vers les bonnes fiches, ça me ferait vraiment très plaisir.
Spécifiquement, j'aurais besoin de fiches qui m'aideraient à répondre aux questions suivantes (trouver x) :
a) ¹²⁄₂₅𝑥 = 48
Un ami m'a aidé avec celui-ci en me montrant une façon de multiplier les dénominateurs et les numérateurs entre-eux (image attachée ci-dessous), je voulais savoir si elle est parfaite à utiliser pour des problèmes similaires plus compliqués ou s'il y aurait une façon plus globale pour arriver à la réponse.b) ⁵²⁄ₓ = 13
J'ai trouvé b) (x = 4) par essais et erreurs mais ça me semble un peu trop simple, surtout si les nombres montent plus haut, car ça pourrait me prendre bien plus de temps à trouver la réponse. Je me demandais s'il y avait un truc pour celui-ci !
c) ²¹⁻ˣ⁄ₓ = 104
J'ai également lu la page des racines carrées (j'en avais besoin pour un autre numéro), mais je n'ai pas vu de page qui explique comment trouver la racine carrée (ou plus) d'un nombre sans calculatrice (J'en possède une, mais je ne crois pas pouvoir l'utiliser en cours). Si elle existe, j'aimerais bien la voir aussi ! Merci infiniment !
-
Secondaire 5 • 16h
je n’arrive pas à comprendre mon erreur, est ce que quelqu’un peut m’expliquer svp 🙏 La réponse en au bas de la page est la vraie réponse
-
Vérifiée par Alloprof
Secondaire 5 • 18hBonjour,
J’aimerais mieux comprendre la fonction exponentielle, car j'ai un examen de fin d'étape en MATH SN DE SECONDAIRE 5 !!!
- À quoi ressemble la fonction exponentielle de base ?
- Comment peut-on déterminer les variations d’une fonction exponentielle uniquement à partir de son équation (donc à partir de ses paramètres), sans tracer de graphique ?
- Quel est le rôle des paramètres a,b,c,h,ka, b, c, h, ka,b,c,h,k dans une fonction exponentielle et comment influencent-ils sa forme et ses variations ? Merci beaucoup pour votre aide, et svp me répondre le plus tot possible, car mon examen est mercredi matin.
-
Vérifiée par Alloprof
Secondaire 2 • 19hBonjour, je fait du tutorat pour un élève de secondaire 2 en lecture et j'aimerais savoir si vous aviez des trucs/astuces pour moi pour l'aider a bien réussir ses examens de compréhension de texte. Un est un examen sur un texte narratif régulier et l'autre est sur un roman qu'il doit lire.









